0 引言
1 VSG基本原理
Fig. 1 VSG main circuit topology diagram图1 VSG主电路拓扑结构图 |
1.1 有功-频率控制
Fig. 2 Active power-frequency control block diagram图2 有功-频率控制框图 |
1.2 无功-电压控制
Fig. 3 Reactive power-voltage control block diagram图3 无功-电压控制框图 |
2 并联VSG特性分析
2.1 并联VSG功率传输特性
Fig. 4 Equivalent circuit model of parallel VSG图4 并联VSG等效电路模型 |
Fig. 5 Block diagram of reactive power-voltage closed-loop control图5 无功-电压闭环控制框图 |
2.2 并联VSG环流特性分析
3 改进VSG控制策略
3.1 电压电流双闭环控制
Fig. 6 Structure diagram of voltage and current double loop control图6 电压电流双环控制结构图 |
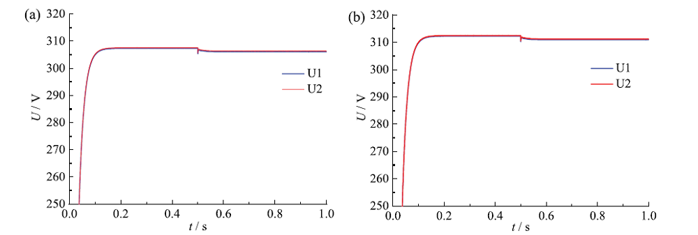
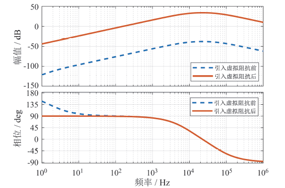
3.2 引入虚拟阻抗
Fig. 7 Control principle diagram of virtual impedance method图7 虚拟阻抗法控制原理图 |
Fig. 8 Bode diagram of equivalent output impedance before and after introducing virtual inductor图8 引入虚拟阻抗前后等效输出阻抗伯德图 |
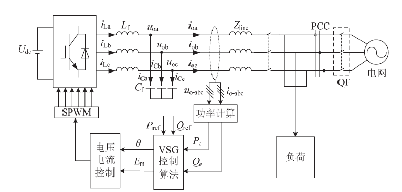
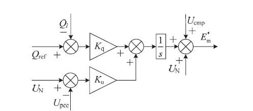
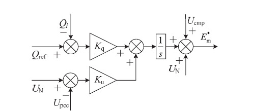
3.3 改进无功-电压下垂控制策略
Fig. 9 Improved reactive voltage control block diagram图9 改进无功-电压控制框图 |
4 仿真验证
Table 1 VSG simulation parameters表1 VSG仿真参数 |
| 参数 | 数值 |
|---|---|
| 输入电压Udc / V | 800 |
| 滤波电感Lf / mH | 5 |
| 滤波电容Cf / μF | 200 |
| 工频频率fN / Hz | 50 |
| 开关频率fk / kHz | 10 |
| 转动惯量J / (kg/m2) | 0.04 |
| 阻尼系数D / [N/(m/s)] | 20 |
| P-ω下垂系数Kp / [W/(rad/s)] | 1×104 |
| Q-U下垂系数Kq / (V/Var) | 2.5×10-3 |
| 空载电压幅值UN / V | 311 |
| 电压反馈系数Ku | 0.2 |
| 虚拟阻抗Lv / mH | 1 |
| VSG1线路阻抗Z1 / Ω | 0.02+0.03j |
| VSG2线路阻抗Z2 / Ω | 0.03+0.04j |
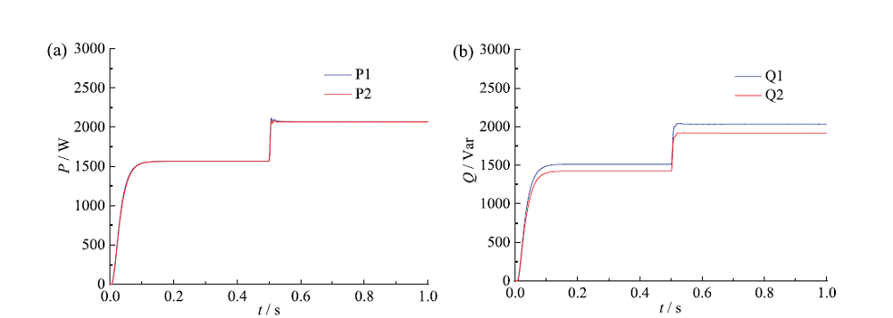
Fig. 10 Two VSGs output active (a) and reactive power (b) before improving VSG control strategy图10 改进前VSG控制策略:(a)两台VSG输出有功功率;(b)两台VSG输出无功功率 |
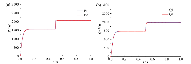
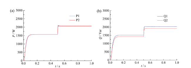
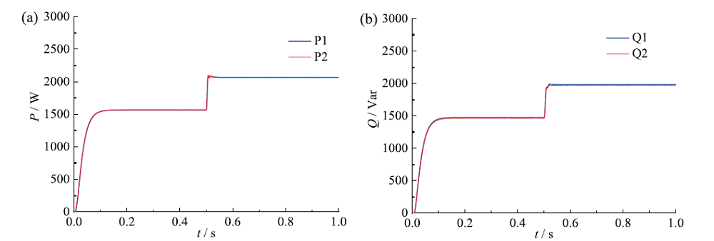
Fig. 11 Two VSGs output active (a) and reactive power (b) after improving VSG control strategy图11 改进后VSG控制策略:(a)两台VSG输出有功功率;(b)两台VSG输出无功功率 |
Fig. 12 Circulating current of two parallel VSGs before (a) and after (b) introducing virtual impedance图12 引入虚拟阻抗前(a)、后(b)两台VSG并联系统环流 |
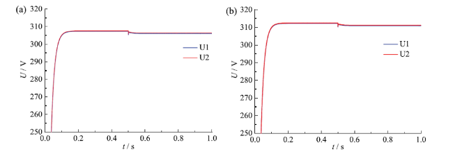
Fig. 13 Two VSG output voltage amplitude before (a) and after (b) compensation图13 补偿前(a)、后(b)两台VSG输出电压幅值 |


