多孔燃烧器中氨/空气燃烧特性数值研究
陈达南1,2, 李军2,, 邓立生2, 黄宏宇2, 陈颖1
1.广东工业大学 材料与能源学院,广州 510006
2.中国科学院广州能源研究所,广州 510640
† 通信作者:李 军,E-mail:lijun@ms.giec.ac.cn

作者简介:陈达南(1995-),男,硕士研究生,主要从事氨燃烧方面的研究。李 军(1985-),男,博士,研究员,主要从事燃烧、化学蓄热等方向的研究。

摘要

氨具有氢密度高、生产成本低、基础设施完善等优点,作为一种潜在的可再生替代燃料受到了广泛的关注。目前,仅有少数研究关注氨气燃烧喷嘴的研究,针对氨气稳定燃烧喷嘴的研究尤其不足。为实现氨燃料的稳定燃烧和低污染物排放,本研究提出了一种氨用多孔介质燃烧器。对氨用多孔介质燃烧器建立了二维数值模型,并对预混氨/空气在多孔介质燃烧器中的燃烧性能进行了评价,考察了不同进口速度 u0、当量比 Φ和多孔介质导热系数对氨/空气火焰特性和NO排放的影响。结果表明,多孔介质燃烧器能在 u0 = 3 ~ 7 m/s和 Φ = 0.9 ~ 1.2条件下稳定燃烧;随着多孔介质导热系数的增大,火焰最高温度下降且火焰位置向上游移动;减小进口速度和增大当量比能够显著降低NO的排放。

关键词: 氨燃料; 多孔介质; 燃烧特性; NO排放; 数值仿真
中图分类号:TK16 文献标识码:A 文章编号:2095-560X(2021)04-0294-06
Numerical Study on Ammonia/Air Combustion Characteristics in a Porous Burner
CHEN Da-nan1,2, LI Jun2, DENG Li-sheng2, HUANG Hong-yu2, CHEN Ying1
1. School of Materials and Energy, Guangdong University of Technology, Guangzhou 510006, China
2. Guangzhou Institute of Energy Conversion, Chinese Academy of Sciences, Guangzhou 510640, China
Abstract

Ammonia has the advantages of high hydrogen density, low cost, and complete infrastructure, making it a potential renewable alternative fuel that has received extensive attention. At present, there are only a few studies focusing on the research of ammonia combustion nozzles, and the research on ammonia stable combustion nozzles is particularly insufficient. In order to achieve stable combustion of ammonia fuel and low pollutant emissions, a porous medium burner for ammonia was proposed in this study. A two-dimensional numerical model was established for a porous medium burner for ammonia, and the combustion performance of premixed ammonia/air in a porous medium burner was evaluated. The effects of different inlet velocities, equivalent ratios and thermal conductivity of porous media on ammonia/air flame characteristics and NO emissions were investigated. The results showed that the porous medium burner can stably burn at inlet velocity ( u0) of 3-7 m/s and equivalent ratio ( Φ) of 0.9-1.2. As the thermal conductivity of the porous medium increased, the maximum flame temperature decreased and the flame position moved upstream. Reducing the inlet velocity and increasing the equivalence ratio can significantly reduce NO emissions.

Key words: ammonia fuel; porous media; combustion characteristics; NO emission; numerical simulation
0 引言

随着社会的发展, 各行业对能源的需求量不断增加, 一系列能源与环境问题日益突出。寻找替代化石燃料的新燃料以及发展其燃烧技术成为了国内外学者重点研究的课题[1, 2]。近年来, 如氢气、氨气、生物柴油、乙醇、二甲醚等诸多替代燃料受到了广泛的关注和大量的研究[3, 4]。其中, 氨因具有较高的体积能量密度, 储氢容量高达17.7%, 可作为一种潜在燃料于各种发电系统中应用[5]。此外, 氨还具有储存成本低、安全性高、基础设施配套完善等优势, 是一种具有前景的氢能源载体及潜在燃料[6]

目前, 氨已在内燃机和燃料电池中作为燃料应用[7], 然而较低火焰速度、可燃极限窄、生成氮氧化物等因素限制了其作为潜在燃料的应用和普及[8]。多孔介质燃烧作为一种高效且低污染的新型燃烧方式, 具有耐高温、耐热震、蓄热能力强、传热性能好等优点, 被广泛用于基础燃烧研究以及为纸张、油漆、纺织品、食品等材料的干燥和热加工提供热量[9]。燃烧时, 预混气体流经多孔介质并在其中进行燃烧; 反应所产生的热量通过多孔介质的导热和辐射作用对上游的预混气体进行预热, 同时通过多孔介质本身的蓄热能力回收高温烟气余热, 与自由火焰燃烧相比, 大幅提高了气体燃烧速率及火焰速率[10]。NOZARI等[11]研究了在标准温度和压力条件下的多孔介质SiC中预混氨/氢气体火焰, 结果表明其在较大当量比范围(Φ = 0.9 ~ 1.5)及很高的氨浓度水平下(60% ~ 90%), 燃烧稳定且效率较高。

本文对氨在稳定燃烧当量比下的燃烧特性、NO的生成和排放特性进行了研究, 考察了不同当量比、进口速度、多孔介质的导热系数对氨燃料在多孔介质燃烧器上燃烧特性、火焰位置和排放物生成的影响, 以期为氨用多孔介质燃烧器的设计和开发提供理论指导。

1 数值模拟方法
1.1 物理模型

对氨/空气的预混燃烧多孔介质燃烧器进行了设计, 建立了氨燃料多孔介质燃烧模型, 如图1所示。由于多孔介质燃烧器几何对称, 为了提高计算效率, 采用一半的燃烧室空间作为计算区域。整个燃烧室长度为60 cm、直径为20 cm, 多孔介质燃烧器厚度为8 cm、直径为10 cm, 材质为惰性SiC材料。为防止空气从侧面进入多孔火焰区, 多孔块由厚度为0.5 cm的不锈钢外壳包围。

图1 模型示意图Fig. 1 Schematic diagram of the porous burner

1.2 控制方程

采用FLUENT 16.0软件, 对氨用多孔介质燃烧器燃烧过程中质量、动量、能量方程及传热过程模型进行了求解。为简化计算, 引入了一些假设:①稳态燃烧; ②不可压缩流动; ③无气体辐射; ④惰性且各向同性、均质的多孔介质; ⑤多孔介质与气体传热效率很高, 因此多孔介质和内部流动气体的温度相等[12]。基于这些假设, 采用稳态求解器求解的控制方程如下。

连续性方程:

$\nabla \left( \varepsilon {{\rho }_{\text{g}}}\vec{u} \right)=0$ (1)

动量方程:

$\nabla \left( \varepsilon {{\rho }_{\text{g}}}u\cdot \overrightarrow{u} \right)=-\varepsilon \frac{\partial p}{\partial x}+\nabla \left( \mu \nabla u \right)+\frac{\mu }{{{C}_{1}}}u+\frac{{{\rho }_{\text{g}}}}{{{C}_{2}}}{{u}^{2}}$ (2)

$\nabla \left( \varepsilon {{\rho }_{\text{g}}}v\cdot \overrightarrow{v} \right)=-\varepsilon \frac{\partial p}{\partial x}+\nabla \left( \mu \nabla v \right)+\frac{\mu }{{{C}_{1}}}v+\frac{{{\rho }_{\text{g}}}}{{{C}_{2}}}{{v}^{2}}$ (3)

能量方程:

$\nabla \left( \varepsilon {{\rho }_{\text{g}}}\overrightarrow{u}h \right)=\nabla \left( {{\lambda }_{\text{eff}}}\nabla T \right)-\sum\limits_{i}{{{h}_{i}}{{\omega }_{i}}{{W}_{i}}}$ (4)

式中:${{\lambda }_{\text{eff}}}$为多孔介质的有效导热系数, ${{\lambda }_{\text{eff}}}=$ $\varepsilon {{\lambda }_{\text{g}}}+\left( 1-\varepsilon {{\lambda }_{\text{s}}} \right)$, ${{\lambda }_{\text{g}}}$和${{\lambda }_{\text{s}}}$分别为气体和多孔介质的导热系数。

组分输运方程:

$\nabla \left( \varepsilon {{\rho }_{\text{g}}}\overrightarrow{u}{{Y}_{i}} \right)=\nabla \left[ \varepsilon {{D}_{i\text{m}}}\nabla \left( \rho {{Y}_{i}} \right) \right]p+\varepsilon {{\omega }_{i}}{{W}_{i}}$ (5)

1.3 边界条件及求解方法

模型的入口和出口分别采用速度入口和压力出口。在入口处, 设置了均匀速度剖面, 这是由于均匀和充分发展的速度剖面所带来的差异已被证明是可以忽略的[13]。预混气体入口温度为300 K, 各当量比为0.9 ~ 1.2。出口处的压力设置为0。如图1, 进气管道壁面和燃烧室底部壁面设置为绝热壁面, 燃烧室外壁设置为非绝热壁面, 其热损失主要以自然对流和热辐射为主, 其总热损失如式(6)所示。

${{q}_{\text{w}}}={{h}_{\text{n}}}\left( {{T}_{\text{w}}}-{{T}_{\infty }} \right)+{{\varepsilon }_{\text{w}}}\sigma \left( {{T}_{\text{w}}}^{4}-{{T}_{\infty }}^{4} \right)$ (6)

式中:hn为壁面的换热系数, 20 W/(m2∙ K); ${{T}_{\infty }}$设置为300 K; 不锈钢壁面的发射率, 𝜀-w.一般.为0.9; σ 为斯特藩-玻尔兹曼常数, 5.67 × 10-8W/(m2∙ K4)。

建立了多孔介质模型, 多孔介质设置参数见表1[14]。根据修正的半经验欧拉方程关联式[15]可计算出黏性阻力系数C1和惯性阻力系数C2分别为5.14 × 105 m-2和204.05 m-1, 见式(7)和式(8)。

${{C}_{1}}=\frac{150}{{{d}_{\text{p}}}^{2}}\cdot \frac{{{\left( 1-\varepsilon \right)}^{2}}}{{{\varepsilon }^{2}}}$ (7)

${{C}_{2}}=\frac{3.5}{{{d}_{\text{p}}}}\cdot \frac{1-\varepsilon }{{{\varepsilon }^{2}}}$ (8)

表1 多孔介质参数[14] Table 1 Parameters of the porous medium[14]

考虑到模型的准确性以及计算的成本和时间, 采用简化的Konnov机理[16]模拟氨气燃烧, 其中包含19种组分和80步基元反应。该模型入口处雷诺数为9 800 ~ 23 000, 因此采用k-ε 湍流有限速率模型求解。所有的控制方程均采用二阶迎风格式离散, 并采用SIMPLE算法处理压力-速度耦合问题。运用CHEMKIN数据库[17]对混合物的热物性和扩散特性进行计算。利用分段多项式拟合法计算各组分的比热; 分别用不可压缩理想气体定律和混合气体定律计算燃料和空气混合物的密度和比热; 导热系数和黏度由质量加权混合定律计算; 利用动力学理论计算质量扩散率。在迭代计算中, 能量方程的收敛准则为1× 10-6, 其他方程的收敛准则为1× 10-3

2 结果与讨论
2.1 数值模型验证

为了验证数值算法的可靠性和有效性, 进行了详细的网格独立性测试和数据验证。通过将计算域划分为均匀的有限体积单元来检验网格独立性。因此, 选择了3组不同网格(15 373、27 513和43 011)来检查网格的独立性。由图2可知, 网格数为27 513的网格尺寸能够较好地表征多孔介质燃烧器的轴向温度分布, 而增加网格数量并没有较为明显的改善。因此, 为了节省计算时间并满足精度要求, 采用网格数为27 513的网格尺寸进行计算。

图2 不同网格尺寸下轴向温度分布图Fig. 2 Centerline temperature profiles of combustor at different mesh densities

为验证本研究采用模型的可靠性, 根据实验模型[18]建立了相同数值模型, 并按照与实验相同初始条件和边界条件进行模拟计算。如图3所示, 对模拟结果与实验结果进行了对比, 模拟与实验温度对比点为距离多孔体上表面3 cm处[18]。从图3可以看出, 模拟结果与实验结果之间的最大相对误差小于5%, 且模拟结果与实验结果趋势一致。通过以上对比, 验证了模型的可靠性。

图3 计算结果与实验数据对比Fig. 3 Experimental validation of computational model

2.2 温度分布特性

温度的分布情况能够较为直观地反映多孔介质燃烧器的燃烧特性。因此, 本节将对多孔介质燃烧器在预混气体不同进口速度条件下的温度分布特性进行研究。图4给出了ε = 0.9、孔隙密度10 PPI、Φ = 0.9、u0= 3 m/s条件下多孔介质燃烧器的轴向中心线温度和氧气质量分数分布情况。从图中可以看出, 轴向中心线温度在多孔段(X = 0.05 ~ 0.13 m)达到峰值, 同时大量O2被消耗, 且在多孔体内形成稳定火焰。

图4 多孔介质燃烧器轴向中心线温度和O2质量分数分布Fig. 4 Centerline temperature and O2 mass fraction profiles of combustor

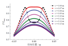
图5为归一化多孔介质的径向温度分布。由图可知, 多孔介质内温度分布均匀, 靠近壁面处温度下降。这是由于多孔介质通过热传导的方式将反应产生的热量向四周传递, 使得多孔介质内的径向温度分布较为均匀。与此同时, 两侧的壁面存在热量损失效应, 因此越靠近壁面, 热量损失越多。在X = 0.06 m处, 中心轴线附近温度较低, 预热气体仍未被点燃, 而在X = 0.07 m处, 已经形成了均匀的高温平面, 因此可以判断, 混合气体在X = 0.06 ~ 0.07 m间发生燃烧反应形成火焰。热量随着气体扩散向多孔介质下游传递, 离开高温反应区后, 多孔体的径向温度梯度向下游逐渐减小。

图5 归一化多孔介质径向温度分布Fig. 5 Normalized radial velocity temperature profiles

图6为不同进口速度下的温度分布。从图中可以看出, 随着进口速度的增大, 多孔介质内的高温区域变大。当进口速度从3 m/s增加到7 m/s时, 火焰内部的最高温度从1 833 K上升到1 990 K, 多孔介质靠近不锈钢壁面处温度相对较低。这是由于进口速度的增大促进了化学反应速率, 多孔介质内的扰动也随之增强。而在壁面附近, 热量会随着对流和辐射作用通过侧壁散失到外部环境中。随着进口流速的增大, 火焰逐渐向下游移动, 多孔体上游附近的未燃预混气尚未达到可燃温度, 导致火焰形状从平面被拉伸至圆锥状。

图6 Φ = 0.9条件下, 不同进口速度的温度云图:(a)u0= 3 m/s; (b)u0= 5 m/s; (c)u0= 7 m/sFig. 6 Comparison of temperature between different inlet velocities at Φ = 0.9: (a) u0= 3 m/s; (b) u0= 5 m/s; (c) u0= 7 m/s

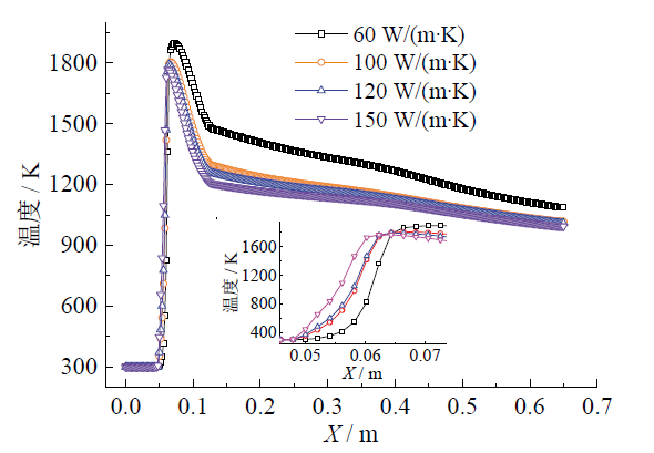
不同材料的多孔介质存在着较大的热物性差异, 其中, 导热系数作为最重要的热物性参数之一, 是影响多孔介质燃烧器传热过程的重要因素。图7为不同导热系数对氨燃烧火焰中心温度分布的影响, 从图中可以看出, 随着多孔介质的导热系数增大, 轴向中心线的温度有所下降, 且火焰位置也随之往上游移动。这是由于导热系数较大的材料使得传热过程中具有更高的有效导热系数, 使得火焰区的热量损失增大, 导致温度降低; 与此同时, 较高的有效导热系数能使预热未燃的预混气体得到充分的预热, 致使火焰位置往上游移动。

图7 导热系数的影响(Φ = 0.9, u0= 3 m/s)Fig. 7 Effect of thermal conductivity of solid matrix (Φ = 0.9, u0= 3 m/s)

2.3 NO排放特性

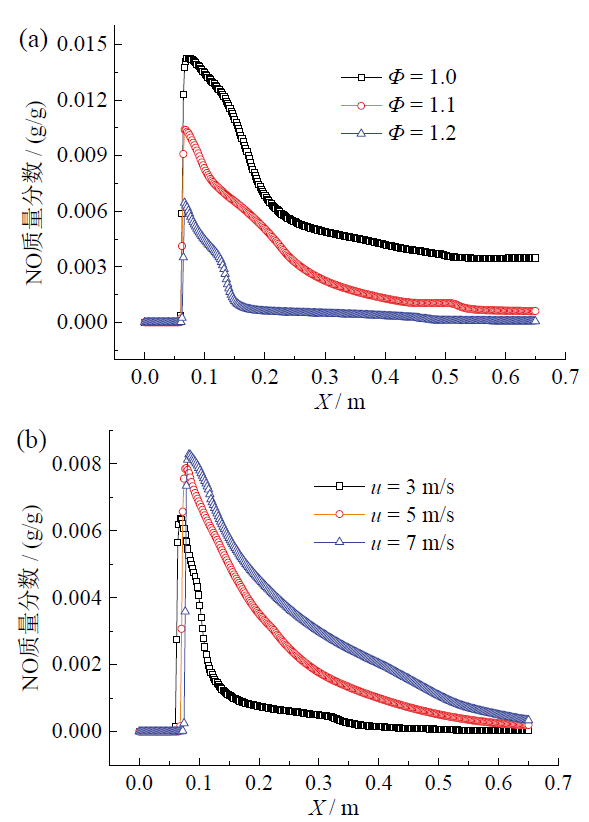
图8a为u0= 3 m/s、Φ = 1.0 ~ 1.2条件下NO的质量分数分布, 可从图中看出, NO集中在高温区生成, 其质量分数在多孔介质内沿着轴向明显下降, 脱离多孔介质下表面后逐渐趋向平稳。根据详细的化学反应机理, NO的形成主要来自NH和OH自由基的反应。在富燃料条件下(Φ = 1.0 ~ 1.2), 随着当量比的增大, NO质量分数显著降低, 当Φ 从1.0增大到1.2时, 燃烧室出口处的NO质量分数从3.46 × 10-3 g/g下降到5.91 × 10-6 g/g, 下降了98.3%。这是由于在富燃料条件下, 少部分未燃的NH3和NO发生了还原反应, 导致NO浓度下降。由详细化学反应机理可知[16], NO和NH2自由基发生还原反应。在Φ = 1.2时, NO基本能在多孔体下表面附近达到较低浓度的水平。

图8 NO质量分数分布:(a)u0= 3 m/s、Φ = 1.0 ~ 1.2; (b)Φ = 1.2、u0= 3 ~ 7 m/sFig. 8 Distribution of NO emission: (a) u0= 3 m/s, Φ = 1.0 ~ 1.2; (b) Φ = 1.2, u0= 3 ~ 7 m/s

图8b为Φ = 1.2、u0= 3 ~ 7 m/s时的NO质量分数分布。随着速度的减小, NO的质量分数随之下降, u0从7 m/s下降到3 m/s时, 燃烧室出口处NO质量分数从3.39 × 10-4 g/g下降到5.91 × 10-6 g/g, 降低了82.6%。当u0为3 m/s时, NO质量分数在多孔介质内迅速增加随后大幅下降, 从峰值6.36 × 10-3 g/g下降到多孔介质下表面处的1.44 × 10-3 g/g。这是由于进口速度的减小导致火焰温度有所下降, 有效减少了热力型NO的生成; 此外, 较小的来流速度增加了生成物在多孔介质内的停留时间, 有利于NO的还原反应。

3 结论

对多孔介质燃烧器中预混氨/空气燃烧的基本火焰特性进行了模拟研究。通过改变各类参数, 考察了进口速度和多孔介质的导热系数对火焰温度、火焰位置及NO排放特性的影响。结果表明:

(1)多孔介质燃烧器能在当量比(Φ = 0.9 ~ 1.2)和进口速度(u0= 3 ~ 7 m/s)范围内稳定氨-空气火焰, 且多孔介质内部的温度分布较为均匀。

(2)多孔介质导热系数的增大均能提高有效导热系数, 使得火焰的最高温度有所下降, 且火焰位置稍向上游移动。

(3)减小进口速度和增大当量比(Φ = 1.0 ~ 1.2)能够显著降低NO的排放。

符号表:

C1— 黏性阻力系数, m-2

C2惯性阻力系数, m-1

dp— 多孔介质当量孔径, m

Dim— 组分i的扩散系数, m2/s

hhi— 分别为焓值和组分i的焓值, J/kg

hn— 对流热损失系数, W/(m2∙ K)

m— 质量, kg

p— 压力, Pa

q— 壁面热量损失, W/m2

TTwT— 分别为温度、壁面温度、环境温度, K

u0— 进口速度, m/s

u— 轴向速度, m/s

$\overrightarrow{u}$轴向速度的矢量

v— 径向速度, m/s

$\overrightarrow{v}$径向速度的矢量

Wi— 组分i的摩尔质量, kg/mol

Yi— 组分i的质量分数, kg/kg

ρ ρ g— 分别为密度、气体密度, kg/m3

ε — 孔隙率

ε w— 壁面的发射率

Φ — 当量比

σ — 斯特藩-玻尔兹曼常数, 其值为5.67 × 10-8 W/(m2∙ K4)

λ gλ s— 分别为气体和多孔介质的导热系数, W/(m∙ K)

τ — 黏性应力张量

ω i— 组分i的生成速率, kmol/(m3∙ s)

参考文献
[1] KUMAR G, KIM S H, LAY C H, et al. Recent developments on alternative fuels, energy and environment for sustainability[J]. Bioresource technology, 2020, 317: 124010. DOI: DOI:10.1016/j.biortech.2020.124010. [本文引用:1]
[2] STANČIN H, MIKULČIĆ H, WANG X, et al. A review on alternative fuels in future energy system[J]. Renewable and sustainable energy reviews, 2020, 128: 109927. DOI: 10.1016/j.rser.2020.109927. [本文引用:1]
[3] LI J, HUANG H Y, KOBAYASHI N, et al. Study on using hydrogen and ammonia as fuels: combustion characteristics and NO x formation[J]. International journal of energy research, 2014, 38(9): 1214-1223. DOI: 10.1002/er.3141. [本文引用:1]
[4] AHMED A, AL-AMIN A Q, AMBROSE A F, et al. Hydrogen fuel and transport system: a sustainable and environmental future[J]. International journal of hydrogen energy, 2016, 41(3): 1369-1380. DOI: 10.1016/j.ijhydene.2015.11.084. [本文引用:1]
[5] CHIUTA S, EVERSON R C, NEOMAGUS H W J P, et al. Reactor technology options for distributed hydrogen generation via ammonia decomposition: a review[J]. International journal of hydrogen energy, 2013, 38(35): 14968-14991. DOI: 10.1016/j.ijhydene.2013.09.067. [本文引用:1]
[6] LAN R, IRVINE J T S, TAO S W. Ammonia and related chemicals as potential indirect hydrogen storage materials[J]. International journal of hydrogen energy, 2012, 37(2): 1482-1494. DOI: 10.1016/j.ijhydene.2011.10.004. [本文引用:1]
[7] MØRCH C S, BJERRE A, GØTTRUP M P, et al. Ammonia/hydrogen mixtures in an SI-engine: engine performance and analysis of a proposed fuel system[J]. Fuel, 2011, 90(2): 854-864. DOI: 10.1016/j.fuel.2010.09.042. [本文引用:1]
[8] LI J, HUANG H Y, KOBAYASHI N, et al. Numerical study on effect of oxygen content in combustion air on ammonia combustion[J]. Energy, 2015, 93: 2053-2068. DOI: 10.1016/j.energy.2015.10.060. [本文引用:1]
[9] 姜海. 多孔介质内预混气体燃烧的实验和数值研究[D]. 合肥: 中国科学技术大学, 2008. [本文引用:1]
[10] 张俊春. 多孔介质燃烧处理低热值气体及燃烧不稳定性研究[D]. 杭州: 浙江大学, 2014. [本文引用:1]
[11] NOZARI H, KARACA G, TUNCER O, et al. Porous medium based burner for efficient and clean combustion of ammonia-hydrogen-air systems[J]. International journal of hydrogen energy, 2017, 42(21): 14775-14785. DOI: 10.1016/j.ijhydene.2017.03.234. [本文引用:1]
[12] YANG W J, WANG Y F, ZHOU J H, et al. Simulation of hetero/homogeneous combustion characteristics of CH4/air in a half packed-bed catalytic combustor[J]. Chemical engineering science, 2020, 211: 115247. DOI: 10.1016/j.ces.2019.115247. [本文引用:1]
[13] LI J, CHOU S K, YANG W M, et al. A numerical study on premixed micro-combustion of CH4-air mixture: effects of combustor size, geometry and boundary conditions on flame temperature[J]. Chemical engineering journal, 2009, 150(1): 213-222. DOI: 10.1016/j.cej.2009.02.015. [本文引用:1]
[14] LI J, LI Q Q, SHI J R, et al. Numerical study on heat recirculation in a porous micro-combustor[J]. Combustion and flame, 2016, 171: 152-161. DOI: 10.1016/j.combustflame.2016.06.007. [本文引用:1]
[15] DIXON A G, CRESSWELL D L. Theoretical prediction of effective heat transfer parameters in packed beds[J]. AIChE journal, 1979, 25(4): 663-676. DOI: 10.1002/aic.690250413. [本文引用:1]
[16] DUYNSLAEGHER C, JEANMART H, VANDOOREN J. Flame structure studies of premixed ammonia/hydrogen/ oxygen/argon flames: experimental and numerical investigation[J]. Proceedings of the combustion institute, 2009, 32(1): 1277-1284. DOI: 10.1016/j.proci.2008.06.036. [本文引用:2]
[17] KÉROMNÈS A, METCALFE W K, HEUFER K A, et al. An experimental and detailed chemical kinetic modeling study of hydrogen and syngas mixture oxidation at elevated pressures[J]. Combustion and flame, 2013, 160(6): 995-1011. DOI: 10.1016/j.combustflame.2013.01.001. [本文引用:1]
[18] NOZARI H, TUNCER O, KARABEYOGLU A. Evaluation of ammonia-hydrogen-air combustion in SiC porous medium based burner[J]. Energy procedia, 2017, 142: 674-679. DOI: 10.1016/j.egypro.2017.12.111. [本文引用:2]