铜基底上无黏结剂Co3V2O8多孔纳米片阵列的制备以及锂离子电池性能研究
殷志刚1,2,, 王静1, 曹敏花2
1.北京智行鸿远汽车有限公司,北京 102202
2.北京理工大学,北京 100081
†通信作者:殷志刚,E-mail:hbtsyzg@163.com

作者简介:殷志刚(1978-),男,博士,高级工程师,主要从事高能量密度及快充电池的开发和相关机理研究。曹敏花(1969-),女,教授,博士生导师,主要从事锂离子电池和燃料电池中材料制备与电化学问题研究。

摘要

直接在铜基底上生长具有不同金属离子的多孔过渡金属氧化物,成为有前途的锂离子电池电极材料的候选。本文提出了一种简便可行的低温水热沉积方法在铜基底上制备前驱物阵列。前驱物经过煅烧处理得到具有多孔特性Co3V2O8纳米片阵列,多孔纳米片阵列用作锂离子电池负极材料显示出了长期循环稳定性和高倍率性能。在1.0 A/g电流密度下,电池经过240次循环后显示出1 010 mA∙h/g的容量;在3.0 A/g的电流密度下,电池循环600次后显示出552 mA∙h/g的可逆容量。

关键词: 无黏结剂; 纳米片; 铜基底; 锂离子电池
中图分类号:TK02;TM912 文献标识码:A 文章编号:2095-560X(2021)05-0384-10
Preparation of Binder-Free Co3V2O8 Porous Nanosheets Array on Copper Substrate and Performance Study of Lithium-Ion Batteries
YIN Zhi-gang1,2,, WANG Jing1, CAO Min-hua2
1. Beijing Idrive Automotive Co. Ltd., Beijing 102202, China
2. Beijing Institute of Technology, Beijing 100081, China
Abstract

Porous transition metal oxides materials with different metal ions, directly grown on copper substrate, are promising electrode material candidates for lithium-ion battery. Herein, a facile low temperature hydrothermal deposition method was proposed to prepare precursor arrays on Cu substrate. The precursor was then calcinated to obtain porous Co3V2O8 nanosheet arrays. The porous Co3V2O8 nanosheet arrays used as anode of lithium-ion battery showed long-term cycle stability and high-rate performance. It could deliver a specific capacity of over 1 010 mA∙h/g after 240 cycles at 1 A/g current density. When the cell was cycled at a current density as high as 3.0 A/g, it still maintained a high specific capacity of around 552 mA∙h/g after 600 cycles.

Key words: binder-free; nanosheet; copper substrate; lithium-ion battery

开放科学(资源服务)标识码(OSID):

0 引言

锂离子电池(lithium-ion batteries, LIBs)已经被广泛应用到许多产品中, 包括便携式装备、小型电子设备和低功率低能量密度的电子产品等。然而由于能源危机的出现和环境保护意识的增强, 电池需求领域逐渐扩大, 人们已经开始将锂电池应用到电动汽车或混合电动汽车领域[1, 2, 3, 4, 5, 6]。混合价态过渡金属氧化物(transition metal oxides, TMOs)作为锂电池负极材料开始受到人们的重视, 被认为是有可能取代传统石墨材料的选择之一, 这是由于TMOs材料用作锂离子电池负极具有较好的能量密度和功率密度。然而这些过渡金属氧化物由于存在电导率低和体积膨胀大, 导致材料在应用过程中出现容量衰减严重的问题, 因而阻碍了TMOs材料在实际中的应用[7, 8, 9, 10, 11, 12]。目前, 人们已经找到一些改善材料电导率低的方法, 这些方法包括结合具有高电导率的材料。这些材料包括石墨烯[13, 14, 15]、碳纳米管[16, 17, 18, 19]、介孔碳[20, 21, 22]等。碳材料的引入是较为方便的策略, 另外碳材料价格相对低廉。解决这些材料体积膨胀严重问题的关键是开发具有一定机械强度且有一定的结构形貌的电极材料, 例如制备出中空结构材料[23, 24, 25]、多壳结构材料[26, 27, 28]、蛋黄-蛋壳结构材料[29, 30, 31, 32]、纳米笼结构材料[33, 34, 35]和具有多孔结构的纳米片材料[36, 37]。另外, 直接把过渡金属氧化物材料制备到导电基底上成为更能有效改善材料导电性的方法[38, 39]

最近, 人们开始更多地关注三元钒酸盐材料, 期望这些材料能够应用到能源转化和储存领域。大量的研究工作开始倾向于将这些三元钒酸盐材料应用到锂电池负极材料中。具有代表性的材料包括Co3V2O8[40, 41, 42, 43]、MoV2O8[44, 45, 46]、InVO4[47]、Zn3V2O8[48, 49, 50]和Zn3V3O8[51, 52], 这些钒酸盐材料应用到锂电池中作为负极材料显示出了高充放电容量、高功率密度和长期材料循环稳定性。然而, 在循环过程中材料仍然面临着粉化和团聚问题, 而且这些已制备出的材料的导电性比较差, 这限制了材料的进一步应用。传统的电极需要把这些制备的钒酸盐与导电炭黑和黏结剂混合研磨以增强材料的导电性, 导电炭黑的加入能够有效解决材料在充放电过程中体积膨胀过大的问题。然而导电炭黑和黏结剂的加入不可避免地降低材料的循环性能。如果活性材料能够直接在特定的导电基底上生长来制备无黏结剂电极材料, 这种无黏结剂电极材料将可有效减少材料制备工艺过程, 并且能够提高在高电流密度下电极性能。

本文通过简单、可量产的方法, 合理设计并直接在铜基底上生长超薄结构的Co3V2O8多孔纳米片, 这种直接在导电基底上生长具有存储锂离子能力的材料被称为无黏结剂材料。铜基底作为导电基底来负载多孔纳米片并且能够提高材料的整体导电性, 这种导电性提高使材料在充放电过程中电子和锂离子的传输速率有效得到提升。无黏结剂Co3V2O8多孔纳米片材料的制备方法不仅能够简化材料的制备过程, 而且能够有效地缓解材料在充放电过程中过大的体积膨胀导致材料裂纹出现的问题。本文制备的无黏结剂Co3V2O8多孔纳米片作为LIBs电极材料, 具有高比容量、稳定循环性能和高倍率的特点。

1 铜基底上Co3V2O8多孔纳米片的制备
1.1 实验部分

所用的化学试剂和药品都是分析纯并且没有进行更进一步的纯化处理。取1.0 mmol的偏钒酸铵 (NH4VO3)溶解到60 mL的去离子水中, 保持溶液在80℃下磁力搅拌直到溶液澄清透明。随后向溶液中加入1.5 mmol的Co(NO3)2并搅拌一段时间, 紧接着向溶液中加入3.0 mmol的NH4F并搅拌不少于10 min, 然后将溶液转入高压反应釜中。在上述溶液制备的过程中, 也对铜基底进行除杂处理:将铜片裁剪成40 mm × 20 mm × 0.3 mm尺寸规格, 将铜片在配制好的HCl溶液中超声清洗10 min, 随后在乙醇和丙酮的溶液中各超声清洗10 min, 最后的铜片在去离子水中清洗得到纯净的铜片基底。将铜片基底投入到高压反应釜中, 密闭反应釜并保持溶液在95℃下反应10 h。反应结束后, 反应釜自然冷却到室温。取出铜基底, 可以看到铜基底上附着一层反应产物, 为了保持材料在基底上的牢固性, 将基底在超声仪中进行超声处理, 紧接着对铜基底用水清洗数次再用乙醇清洗, 得到铜基底上制备Co3V2O8纳米片阵列前驱物。将前驱物在氩气中以400℃煅烧2 h后, 得到无黏结剂的Co3V2O8多孔纳米片阵列产物。如果将加入的NH4F由原来的3.0 mmol改为6.0 mmol, 可以得到Co3V2O8纳米花阵列。

1.2 产物结构表征

采用布鲁克公司的D8 Advance X射线衍射仪(x-ray diffraction, XRD)对产物组成和物相纯度进行测试, 工作电压设定为40 kV, 工作电流设定为40 mA。X-射线光电子能谱(X-ray photoelectron spectroscopy, XPS)在ESCALAB 250能谱仪上测试产物不同元素价态。产物形貌在Hitachi S-4800场发射扫描电子显微镜(field emission scanning electron microscope, FE-SEM)上测试, 元素能量X-射线图谱(energy dispersive X-ray spectroscopy, EDS)定量分析在Hitachi S-4800 SEM附带能谱仪上进行。透射电镜(transmission electron microscope, TEM)、高分辨透射(high resolution transmission electron microscope, HRTEM)分析和选区电子衍射(selected area electron diffraction, SAED)均在高分辨透射电子显微镜(JEM-2100)上进行, 元素能谱分布(mapping)分析在TEM附带的能谱仪上进行。样品热重分析(thermo gravimetric analyzer-differential scanning calorimetry, TGA-DSC)在同步热分析仪上进行, 型号为DTG-60AH, 测试气氛为氩气, 升温速率为10℃/min。

1.3 电化学性能测试方法

在室温条件下, 使用CR2025型纽扣电池在蓝电测试仪(CT2001A)上进行电化学性能测试, 工作电压窗口设定为0.01 ~ 3.0 V。将在铜基底上制得的Co3V2O8纳米片阵列经过冲片、压片过后得到负极材料电极片。金属Li片为对电极, Celgard 2400聚合物薄膜为隔膜。电解液溶质浓度是1 mol/L, 即1 mol的LiPF6溶质溶解于体积比为1∶ 1∶ 1的碳酸乙烯酯(ethylene carbonate, EC)、碳酸二甲酯(dimethyl carbonate, DMC)和碳酸二乙酯(diethyl carbonate, DEC)混合溶剂中形成的溶液。活性材料的有效质量为1.2 mg/cm2。电池组装在手套箱中进行, 其中氧含量和水含量均低于1 mg/L。循环伏安(cyclic vlitammetry, CV)和电化学阻抗(electrochemical impedance spectrum, EIS)测试在电化学工作站(CHI660D)上进行, 其中CV扫描速度为0.1 mV/s, 电压窗口为0.01 ~ 3.0 V; EIS测试频率范围为0.01 Hz ~ 100 kHz。

根据下述方法对铜基底上的Co3V2O8沉积物质量进行实际估算:首先, 使用精度为0.000 1 g的电子天平称量煅烧后完全干燥的电极质量, 定义为m1; 其次, 把称量好的电极片浸没到采用通氮气保护的具有一定浓度的HCl水溶液中超声处理10 min, 直到溶液颜色不再改变为止。在上述操作过程中, 已经形成的Co3V2O8层能够被盐酸刻蚀掉, 然而铜基底保持不被腐蚀。在真空条件下干燥洗净后的铜片, 将干燥后的铜片在同样的天平上称量, 记录此时所得质量, 定义为m0; 最后, 附着在上述铜片上的活性组分质量可以通过两个质量差而得(m1 - m0), 对多个电池片进行了称量, 求取最后的平均值。

2 铜基底上Co3V2O8多孔纳米片阵列的结构表征

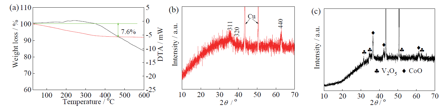
如实验部分所描述, 对铜基底在3 mol/L的盐酸中进行超声处理, 去除掉基底上的氧化物和杂质, 保证铜基底的粗糙表面完全暴露。暴露的表面有利于与一些带有不同类型电荷的溶液相互作用, 促使铜基底表面带电荷, 再经过丙酮、乙醇和水的清洗处理后促使基底表面具有电荷, 带电荷的基底能够进一步通过电荷间的作用力与目标产物作用。将氟化铵(NH4F)、反应原材料加入80℃的水溶液中, 最后将溶液转入反应釜, 在95℃下反应一段时间, 在此过程中, 铜基底上发生沉积反应, 最终生成目标产物前驱物阵列。此时生成的前驱物阵列只有与铜基底接触的部分比较牢固, 其他部分相对容易脱落, 因此把沉积了前驱物的铜基底在超声仪中超声处理, 洗去容易脱落的部分。最终的无黏结剂Co3V2O8纳米片阵列前驱物得以形成。在常温下干燥所得前驱物, 对前驱物进行热重分析以确定材料的合理煅烧温度, 测试温度范围设定在25 ~ 600℃之间, 升温速率为10℃/min。为了防止铜基底的氧化, 选择氩气作为保护气。热重分析结果如图1a所示, 在整个测试温度范围内涉及总的质量损失是7.6%。其质量损失是由材料中的水分蒸发引起。温度高于380℃以后, 材料没有质量损失, 表明材料不再发生质量减少的反应过程, 可能已经形成相对稳定的产物。根据热重分析结果, 选择前驱物材料的煅烧温度在380℃以上, 以保证前驱物材料完全转化为目标产物。

图1 (a)前驱物热重曲线; (b)前驱物在400℃下煅烧后的XRD曲线; (c)前驱物在450℃下煅烧后的XRD曲线Fig. 1 (a) TG-DTA curves of the precursor; (b) XRD patterns of precursor calcined at 400oC; (c) XRD patterns of precursor calcined at 450oC

借助XRD物相分析来确定前驱物煅烧后的材料组成。如图1b所示, 前驱物在400℃下进行煅烧处理后的XRD结果表明, 煅烧后产物几个标准峰与物相卡片号为JCPDS Card No.16-675的Co3V2O8吻合。材料在400℃下煅烧后的XRD测试结果进一步验证了热重分析结果。由于材料的XRD峰强度相对较弱, 因此将材料煅烧温度提高到450℃, 其物相分析结果如图1c, 由图可见, 所得产物并非所希望的Co3V2O8, 而是由CoO和V2O5两种混合物共同构成。材料是在惰性氛围下进行煅烧, 因此不发生高温下氧化过程, 无更高价金属出现, 煅烧后的热重分析表明材料没有质量的改变, XRD结果表明材料中有CoO和V2O5, 结合400℃煅烧产物为Co3V2O8, 说明450℃下煅烧使Co3V2O8发生了分解反应。热重结果显示, 温度升高, 材料的质量并未增加, 因此推测在更高的煅烧温度下生成的Co3V2O8将发生分解反应。根据上述XRD分析结果, 得到反应物的最佳煅烧温度为400℃。

为了进一步验证煅烧后Co3V2O8材料的化学组成和相应元素的氧化态, 对最终煅烧后的样品进行XPS分析。如图2a所示, 材料的图谱中发现Co、V、O和C元素, 其中的C元素来自仪器本身。图2b是Co 2p的高分辨图谱, 显示其中的Co元素有四个可识别的信号峰, 位置分别在大约795.1 eV和780.2 eV, 这些位置峰能够很好地与Co2+的Co 2p3/2和Co 2p1/2对应, 另外还有两个峰(795.9 eV和782.2 eV)可以被指认出来, 这些峰值也能很好地与Co3+的Co 2p3/2和Co 2p1/2对应, 表明钴是以Co2+和Co3+存在, 这与文献[39-43, 53-54]的报道一致。图2c为高分辨的V 2p图谱, 同样也能被分成四个可识别的信号峰, 这些峰的位置分别大约在524.8 eV和517.5 eV, 存在一个7.3 eV的能量差, 这些峰位置与差值能够很好地与V5+的V 2p1/2 和V 2p3/2吻合。另外也能看到属于V4+的信号峰, 位置在516.1 eV和524.0 eV, 这些结果与文献[49, 51-52, 55-56]的报道一致。材料中的氧元素图谱如图2d所示, 分析结果表明材料中的氧也是由两种类型构成, 在530.1 eV位置峰是由晶格氧引起, 在531.5 eV处的峰是由吸附氧引起[57]。结合XRD和XPS分析结果, 表明上述实验方法能够有效制备出纯相的Co3V2O8目标材料。

图2 Co3V2O8纳米片材料的XPS图谱:(a)Co3V2O8纳米片材料高分辨谱图; (b)Co 2p; (c)V 2p; (d)O 1sFig. 2 XPS spectra of Co3V2O8 nanosheet material: (a) high resolution spectra of Co3V2O8 nanosheet; (b) Co 2p; (c) V 2p; (d) O 1s

铜基底上所得前驱体和煅烧后的最终样品形貌如图3所示。图3a显示前驱物样品具有片层结构特点, 这些片层能够牢固地附着在铜基底上形成纳米片阵列结构, 这些纳米片是交错生长在铜基底上, 每个纳米片都是垂直生长且具有几微米的尺寸规格。进一步对材料样品放大处理, 查看纳米片的表面细微结构特点, 从图3b能够看到这些纳米片厚度约20 nm, 并且这些纳米片表面十分光滑, 并未发现孔洞, 说明制备的纳米片具有致密的结构特点。铜基底上生长的纳米片前驱物在400℃下煅烧处理一段时间后能够形成最终产物Co3V2O8, SEM图清晰地显示纳米片阵列没有因为高温煅烧而发生材料形貌的变化, 仍然保持纳米片阵列结构特点, 但在这些纳米片的表面发现有明暗相间颜色变化, 如图3c。如图3d所示, 对材料局部放大后, 发现这些颜色变化是由于在纳米片上有明显的孔洞出现, 这是由于材料中的一些小分子在高温下被释放导致材料中相关孔的出现。

图3 (a)铜基底上前驱物的FE-SEM图; (b)铜基底上前驱物的高分辨FE-SEM图; (c)铜基底上制备的Co3V2O8低倍FE-SEM图; (d)铜基底上制备的Co3V2O8高分辨FE-SEM图Fig. 3 (a) FE-SEM image of precursor on Cu substrate; (b) high- magnification FE-SEM image of precursor on Cu substrate; (c) FE-SEM image of as-prepared Co3V2O8 on Cu substrate; (d) high-magnification FE-SEM image of as-prepared Co3V2O8 on Cu substrate

为更进一步地了解Co3V2O8纳米片阵列的详细形貌和结构特点, 对Co3V2O8纳米片阵列分别进行了TEM、HRTEM和SAED表征, 结果如图4a ~ 图4d所示。首先对Co3V2O8纳米片阵列用刮刀进行剥离处理, 而后在乙醇溶液中进行超声, 确保材料能够均匀分散到乙醇溶液中。超声处理形成的纳米片形貌仍然得到保持, 如图4a所示。TEM结果显示单个纳米片具有的长度约为3 μ m, 宽度约为1.5 μ m, 而且多孔特性也能通过TEM结果得到证实。选取材料的局部进行放大后发现, 材料表面相当粗糙并且在这些纳米片上有许多贯穿孔存在, 这些孔的孔径在5 ~ 20 nm之间, 如图4b。图4c是材料的HRTEM图, 图片显示材料的晶格间距为0.25 nm, 该结果与立方相的Co3V2O8材料晶面(311)相吻合[55]。SAED结果表明, Co3V2O8纳米片材料具有多晶特点, 如图4d。图4e是煅烧后生成的材料Mapping图, Mapping结果进一步证明材料中Co、V、O三种元素均匀分布的特征。EDS分析法也被用来确定材料中包含的元素, 结果进一步证明Co3V2O8中Co、V、O、Cu四种元素的存在, 其中的Cu来自铜基底。

图4 (a)Co3V2O8纳米片TEM图; (b)Co3V2O8纳米片高倍TEM图; (c)Co3V2O8纳米片HRTEM图; (d)Co3V2O8纳米片SAED图; (e)所得Co3V2O8纳米片阵列的mapping图; (f)所得Co3V2O8纳米片阵列的EDS图Fig. 4 (a) TEM image of Co3V2O8nanosheets; (b) high-magnification TEM image of Co3V2O8nanosheets; (c) HRTEM image of Co3V2O8nanosheets; (d) selected area electron diffraction pattern of Co3V2O8 nanosheets; (e) corresponding element mapping images for Co, V, and O respectively; (f) EDS spectrum of Co3V2O8nanosheets

为确定NH4F的加入对生成纳米片阵列的影响, 对加入不同量NH4F并且在反应釜中经过水热反应后的铜基底表面进行FE-SEM表征, 结果如图5所示。图5a是经过前处理后的铜基底, 可以清晰地看到铜基底表面粗糙, 有利于材料前驱物在表面的生长。加入适量的NH4F后, 前驱物能够牢固地在铜基底表面生长, 说明NH4F的加入有利于铜基底表面生长目标产物, 并且NH4F的量在改变前驱物形貌上也扮演重要的角色, 另外NH4F能够有效加强最后的纳米结构阵列与基底的黏附性[58]。当NH4F的加入量为1.0 mmol, 能够看到有少量的纳米片和纳米粒子在铜基底上沉积, 但是大部分裸露的铜基底上没有材料的生长, 如图5b; 当NH4F的加入量为3.0 mmol, 铜基底上形成规则形貌且稀疏的纳米片阵列, 如图5c; 若增加NH4F的量到6.0 mmol, 大量具有扭曲的、类似片状结构的材料堆叠在一起, 形成像花朵一样的结构, 如图5d。根据上述实验结果, 可知NH4F加入量在材料前驱物的形成过程中扮演至关重要的作用。相对于高温方法制备纳米材料, 本文合成路线具有成本低廉、制备工艺简单、便于大规模生产操作的优点。

图5 (a)铜基底FE-SEM图; 添加不同量的NH4F后的反应前驱物FE-SEM图:(b)1.0 mmol; (c)3.0 mmol; (d)6.0 mmolFig. 5 (a) FE-SEM image of Cu substrate; FE-SEM images of products synthesized by hydrothermal reactions with different NH4F concentrations: (b) 1.0 mmol; (c) 3.0 mmol; (d) 6.0 mmol

3 铜基底上生长Co3V2O8多孔纳米片的电化学性能测试

将在铜基底上生长无黏结剂的Co3V2O8多孔纳米片作为锂电池负极, 以Li片作为对电极来测试材料的电化学性能。所选择的电池类型是CR2025型纽扣式电池, 电池测试的电压范围在0.01 ~ 3.0 V之间。首先, 对无黏结剂的Co3V2O8多孔纳米片材料电极进行CV测试, 测试速率为0.1 mV/s。图6a为经过6次CV扫描后的曲线图, 在首次扫描过程中, 还原过程出现明显的还原峰, 峰的位置分别为0.58 V和0.22 V。这两个峰是由于Co3V2O8材料在插锂过程中的分解以及形成固态电解液界面(solid electrolyte interface, SEI)膜而引起[40, 41, 42]。在随后的循环过程中出现三个明显的还原峰, 这些峰所在的位置分别为1.8 V、1.0 V和0.60 V。在0.6 V的电极电势位置对应Co2+被还原为Co0, 在1.8 V、1.0 V和0.45 V的电极电势位置是钒酸锂进一步插入更多的Li逐渐形成富锂的Li1+x+yV2O5相。因此, Co3V2O8多孔纳米片材料电极在锂插入反应过程中是多步进行。电池在氧化过程中同样出现两个明显的氧化峰, 其位置分别在1.38 V和2.35 V, 1.38 V处的氧化峰是Co0被氧化为Co2+的过程。1.25 V处的氧化峰为富锂相的Li1+x+yV2O5脱除锂后逐渐形成LiV2O5的反应过程。除了首次CV循环, 材料显示出相对一致的氧化还原曲线, 表明材料在充放电过程中能够保持长期循环可逆特性。图6b是无黏结剂Co3V2O8多孔纳米片电极在0.5 A/g电流密度下循环不同次数后的电压-容量曲线图, 电池测试的电压范围为0.01 ~ 3.0 V。材料的首次放电容量和首次充电容量分别为1 498 mA∙ h/g 和1 175 mA∙ h/g, 这两个容量值显示材料的起始库仑效率为78.5%。材料低的起始库仑效率和大的不可逆容量主要归因于材料起始的不可逆锂参加到材料初始反应过程, 该过程为电解液分解后在材料的表面形成不可逆的SEI膜, 这些结果与文献[39]的报道一致。

图 6 (a)Co3V2O8纳米片材料CV曲线图; (b)Co3V2O8纳米片材料在0.5 A/g电流密度下不同循环次数时的充放电曲线图; (c)Co3V2O8纳米片材料在0.5 A/g电流密度下的充放电循环曲线图和库仑效率; (d)Co3V2O8纳米片和纳米花材料倍率曲线图; (e)Co3V2O8纳米片和纳米花材料的阻抗曲线图; (f)Co3V2O8纳米片和纳米花材料在1.0 A/g电流密度下的充放电循环曲线图; (g)Co3V2O8纳米片材料在3.0 A/g电流密度下充放电循环曲线图Fig. 6 (a) CV curves of the Co3V2O8 nanosheets material; (b) charge and discharge profiles of Co3V2O8 nanosheets material with different cycles at a current density of 0.5 A/g; (c) charge and discharge profiles and corresponding coulombic efficiency of Co3V2O8 nanosheets material at a current density of 0.5 A/g; (d) rate profiles of Co3V2O8 nanosheets and Co3V2O8 nanoflowers materials; (e) EIS profiles of Co3V2O8 nanosheets and Co3V2O8 nanoflowers materials; (f) charge and discharge profiles of Co3V2O8 nanosheets and Co3V2O8 nanoflowers materials at a current density of 1 A/g; (g) charge and discharge profiles of Co3V2O8 nanosheets material at a current density of 3 A/g

铜基底上无黏结剂Co3V2O8多孔纳米片材料经过裁剪后直接用作电池负极来测试电极的电池性能。电池测试电流密度为0.5 A/g, 测试次数为100次, 具体测试结果如图6c。无黏结剂Co3V2O8多孔纳米片材料电极在起始的6次循环过程中容量有下降的趋势, 起始容量为1 498 mA∙ h/g, 经过6次循环后的容量降低至1 116 mA∙ h/g。然而, 在随后的循环过程中电极材料容量开始慢慢地增大, 60次循环后的容量达到1 211 mA∙ h/g, 随后的循环材料容量开始缓慢降低。材料在最初的几十次循环过程中容量的逐渐增大是由于更多的活性组分与电解液充分接触, 使参与反应的活性组分更加充分。正如前面表征部分描述, 当加入NH4F的量不同时, 生成的产物形貌也会有所不同, 因此分别对反应溶液中加入3.0 mmol和6.0 mmol NH4F后的产物进行锂电池倍率性能测试, 结果如图6d。在此标记为无黏结剂的Co3V2O8纳米片和无黏结剂的Co3V2O8纳米花, 简称为纳米片和纳米花。对纳米片和纳米花材料进行倍率测试的电流密度取0.5 ~ 10.0 A/g。测试结果显示, 相比于纳米花材料, 纳米片材料在整个测试过程中都显示出高的电池性能。在0.5 A/g、1.0 A/g、2.0 A/g、3.0 A/g、5.0 A/g、10.0 A/g电流密度下, 纳米片材料显示的可逆容量分别为1 160 mA∙ h/g、1 010 mA∙ h/g、810 mA∙ h/g、620 mA∙ h/g、330 mA∙ h/g和200 mA∙ h/g。更重要的是, 当纳米片材料电极从10.0 A/g的高电流密度调回到低的起始电流密度后, 材料还能显示1 150 mA∙ h/g可逆容量。这些结果表明, 无黏结剂电极材料具有较好的倍率性能, 原因是铜导电基底的引入进一步增加了材料的导电性能。

为了测试材料的导电性, 对无黏结剂的纳米片材料和纳米花材料组装成的新电池进行阻抗测试, 测试频率范围为0.01 Hz ~ 100 kHz, 测试结果如图6e。两种材料的EIS数据表明, 曲线都是由低频区直线和中高频区域半圆两个部分组成。曲线的高频半圆区域表示SEI膜电阻(RSEI)和接触电阻(Rf), 曲线的中-高频区域表示材料与电解液之间的电荷传输电阻(Rct), 曲线的低频直线区域表示的是扩散阻碍层电阻(ZT)和半无限扩散电阻(Zw[59, 60, 61]。很显然, 本文Co3V2O8纳米片材料电极在中-高频区域具有更小的半圆直径, 从上面的测试结果不难发现, 纳米片材料具有比纳米花材料更快的电子扩散过程。图6f对纳米片材料和纳米花材料电极分别在更高的1.0 A/g电流密度下进行长循环测试, 进一步评价两种材料的电池性能。测试结果表明, 在整个测试过程中, Co3V2O8纳米片材料的可逆容量都高于Co3V2O8纳米花材料。Co3V2O8纳米片材料电极在经过240次长循环后还能提供1 010 mA∙ h/g的容量, 这个容量值在钒酸盐材料中也是很高的。与在低电流密度下循环具有相对一致的充放电容量趋势, 都有一个先下降后升高的过程, 这些结果与许多材料相一致[37, 43]。在起始的电化学充放电过程中, Co3V2O8材料逐渐转变为纳米结构的CoO和具有更低价态的钒酸锂(Li1+x+yV2O5), 且不可逆SEI膜的形成导致容量逐渐减小。随着充放电过程的进行, 更多的活性组分得到利用, 显示出升高的可逆容量。对无黏结剂的Co3V2O8纳米片在更高的3.0 A/g电流密度下进行600次长循环测试, 如图6g, 结果表明, 材料在该电流密度下循环600次后的容量仍然保持在552 mA∙ h/g。

4 结论

通过低温水热合成过程, 在铜导电基底上直接生长Co3V2O8纳米片和纳米花前驱物, 在惰性气氛下煅烧处理后Co3V2O8结构显示多孔特性。高导电性铜基底的引入能够提高电极的导电性, 纳米片结构具有强机械稳定性。这些特点非常有利于Li+的嵌入和脱出过程。Co3V2O8材料用作锂电池负极材料表现出高比容量、高可逆容量和优异的倍率性能。以Co3V2O8纳米片为例, 在0.5 A/g电流密度下循环100次后比容量高达1 150 mA∙ h/g, 在1.0 A/g电流密度下循环240次后的比容量达到1 010 mA∙ h/g。此外, 在3.0 A/g的电流密度下, Co3V2O8纳米片电极循环600次后仍显示高达552 mA∙ h/g的可逆容量。本文制备的无黏结剂纳米片材料, 制备过程简单且易于量产, 为无黏结剂过渡金属材料的制备和高性能电池材料开发提供借鉴。

参考文献
[1] GOODENOUGH J B, PARK K S. The Li-ion rechargeable battery: a perspective[J]. Journal of the American chemical society, 2013, 135(4): 1167-1176. DOI: 10.1021/ja3091438. [本文引用:1]
[2] HANNAN M A, LIPU M S H, HUSSAIN A, et al. A review of lithium-ion battery state of charge estimation and management system in electric vehicle applications: challenges and recommendations[J]. Renewable and sustainable energy reviews, 2017, 78: 834-854. DOI: 10.1016/j.rser.2017.05.001. [本文引用:1]
[3] BALOGUN M S, YU M H, HUANG Y C, et al. Binder-free Fe2N nanoparticles on carbon textile with high power density as novel anode for high-performance flexible lithium ion batteries[J]. Nano energy, 2015, 11: 348-355. DOI: 10.1016/j.nanoen.2014.11.019. [本文引用:1]
[4] LI Y J, LI K N, XIE Y, et al. Optimized charging of lithium-ion battery for electric vehicles: adaptive multistage constant current-constant voltage charging strategy[J]. Renewable energy, 2020, 146: 2688-2699. DOI: 10.1016/j.renene.2019.08.077. [本文引用:1]
[5] LI W W, LI H Q, LU Z J, et al. Layered phosphorus-like GeP5: a promising anode cand idate with high initial coulombic efficiency and large capacity for lithium ion batteries[J]. Energy & environmental science, 2015, 8(12): 3629-3636. DOI: 10.1039/C5EE02524A. [本文引用:1]
[6] MASIAS A, MARCICKI J, PAXTON W A. Opportunities and challenges of lithium ion batteries in automotive applications[J]. ACS energy letters, 2021, 6(2): 621-630. DOI: 10.1021/acsenergylett.0c02584. [本文引用:1]
[7] ZHENG M B, TANG H, LI L L, et al. Hierarchically nanostructured transition metal oxides for lithium-ion batteries[J]. Advanced science, 2018, 5(3): 1700592. DOI: 10.1002/advs.201700592. [本文引用:1]
[8] SHEN L F, YU L, YU X Y, et al. Self-templated formation of uniform NiCo2O4 hollow spheres with complex interior structures for Lithium-ion batteries and supercapacitors[J]. Angewand te chemie international edition, 2015, 54(6): 1868-1872. DOI: 10.1002/anie.201409776. [本文引用:1]
[9] LI Q, LI H S, XIA Q T, et al. Extra storage capacity in transition metal oxide lithium-ion batteries revealed by in situ magnetometry[J]. Nature materials, 2021, 20(1): 76-83. DOI: 10.1038/s41563-020-0756-y. [本文引用:1]
[10] LI X W, YANG Z B, FU Y J, et al. Germanium anode with excellent lithium storage performance in a germanium/ lithium-cobalt oxide lithium-ion battery[J]. ACS nano, 2015, 9(2): 1858-1867. DOI: 10.1021/nn506760p. [本文引用:1]
[11] XU Y H, LIU Q, ZHU Y J, et al. Uniform nano-Sn/C composite anodes for lithium ion batteries[J]. Nano letters, 2013, 13(2): 470-474. DOI: 10.1021/nl303823k. [本文引用:1]
[12] HAN Y, HUANG G Y, XU S M. Structural reorganization-based nanomaterials as anodes for lithium- ion batteries: design, preparation, and performance[J]. Small, 2020, 16(15): 1902841. DOI: 10.1002/smll.201902841. [本文引用:1]
[13] SUN Y M, HU X L, LUO W, et al. Self-assembled hierarchical MoO2/graphene nanoarchitectures and their application as a high-performance anode material for lithium-ion batteries[J]. ACS nano, 2011, 5(9): 7100-7107. DOI: 10.1021/nn201802c. [本文引用:1]
[14] MO R W, TAN X Y, LI F, et al. Tin-graphene tubes as anodes for lithium-ion batteries with high volumetric and gravimetric energy densities[J]. Nature communications, 2020, 11(1): 1374. DOI: 10.1038/s41467-020-14859-z. [本文引用:1]
[15] DU Y C, ZHU X S, ZHOU X S, et al. Co3S4 porous nanosheets embedded in graphene sheets as high- performance anode materials for lithium and sodium storage[J]. Journal of materials chemistry A, 2015, 3(13): 6787-6791. DOI: 10.1039/c5ta00621j. [本文引用:1]
[16] WU R B, WANG D P, RUI X H, et al. In-situ formation of hollow hybrids composed of cobalt sulfides embedded within porous carbon polyhedra/carbon nanotubes for high-performance lithium-ion batteries[J]. Advanced materials, 2015, 27(19): 3038-3044. DOI: 10.1002/adma.201500783. [本文引用:1]
[17] GUO K K, XI B J, WEI R C, et al. Hierarchical microcables constructed by CoP@C⊂carbon framework intertwined with carbon nanotubes for efficient lithium storage[J]. Advanced energy materials, 2020, 10(12): 1902913. DOI: 10.1002/aenm.201902913. [本文引用:1]
[18] HUANG G, ZHANG F F, DU X C, et al. Metal organic frameworks route to in situ insertion of multiwalled carbon nanotubes in Co3O4 polyhedra as anode materials for lithium-ion batteries[J]. ACS nano, 2015, 9(2): 1592-1599. DOI: 10.1021/nn506252u. [本文引用:1]
[19] CHEN Y M, YU L, LOU X W. Hierarchical tubular structures composed of Co3O4 hollow nanoparticles and carbon nanotubes for lithium storage[J]. Angewand te chemie international edition, 2016, 55(20): 5990-5993. DOI: 10.1002/anie.201600133. [本文引用:1]
[20] QIU H L, ZHU K, LI H M, et al. Mesoporous Li2FeSiO4@ordered mesoporous carbon composites cathode material for lithium-ion batteries[J]. Carbon, 2015, 87: 365-373. DOI: 10.1016/j.carbon.2015.02.056. [本文引用:1]
[21] ZHANG X, ZHAO R F, WU Q H, et al. Petal-like MoS2 nanosheets space-confined in hollow mesoporous carbon spheres for enhanced lithium storage performance[J]. ACS nano, 2017, 11(8): 8429-8436. DOI: 10.1021/acsnano.7b04078. [本文引用:1]
[22] FAN Z Y, WANG B R, XI Y X, et al. A NiCo2O4 nanosheet-mesoporous carbon composite electrode for enhanced reversible lithium storage[J]. Carbon, 2016, 99: 633-641. DOI: 10.1016/j.carbon.2015.12.035. [本文引用:1]
[23] WANG D L, YU Y C, HE H, et al. Template-free synthesis of hollow-structured Co3O4 nanoparticles as high-performance anodes for lithium-ion batteries[J]. ACS nano, 2015, 9(2): 1775-1781. DOI: 10.1021/nn506624g. [本文引用:1]
[24] ZHANG L S, ZUO L Z, FAN W, et al. NiCo2S4 nanosheets grown on 3D networks of nitrogen-doped graphene/carbon nanotubes: advanced anode materials for lithium-ion batteries[J]. Chemelectrochem, 2016, 3(9): 1384-1391. DOI: 10.1002/celc.201600183. [本文引用:1]
[25] ZHU J X, YIN Z Y, YANG D, et al. Hierarchical hollow spheres composed of ultrathin Fe2O3 nanosheets for lithium storage and photocatalytic water oxidation[J]. Energy & environmental science, 2013, 6(3): 987-993. DOI: 10.1039/c2ee24148j. [本文引用:1]
[26] XU S M, HESSEL C M, REN H, et al. α-Fe2O3 multi-shelled hollow microspheres for lithium ion battery anodes with superior capacity and charge retention[J]. Energy & environmental science, 2014, 7(2): 632-637. DOI: 10.1039/C3EE43319F. [本文引用:1]
[27] ZHOU L, XU H Y, ZHANG H W, et al. Cheap and scalable synthesis of α-Fe2O3 multi-shelled hollow spheres as high-performance anode materials for lithium ion batteries[J]. Chemical communications, 2013, 49(77): 8695-8697. DOI: 10.1039/C3CC43867H. [本文引用:1]
[28] LIU N, WU H, MCDOWELL M T, et al. A yolk-shell design for stabilized and scalable Li-ion battery alloy anodes[J]. Nano letters, 2012, 12(6): 3315-3321. DOI: 10.1021/nl3014814. [本文引用:1]
[29] HONG Y J, SON M Y, KANG Y C. One-pot facile synthesis of double-shelled SnO2 yolk-shell-structured powders by continuous process as anode materials for Li-ion batteries[J]. Advanced materials, 2013, 25(16): 2279-2283. DOI: 10.1002/adma.201204506. [本文引用:1]
[30] ZHANG H W, ZHOU L, NOONAN O, et al. Tailoring the void size of iron oxide@carbon yolk-shell structure for optimized lithium storage[J]. Advanced functional materials, 2014, 24(27): 4337-4342. DOI: 10.1002/adfm.201400178. [本文引用:1]
[31] ZHANG Z Z, DU Y C, WANG Q C, et al. A yolk-shell-structured FePO4 cathode for high-rate and long-cycling sodium-ion batteries[J]. Angewand te chemie international edition, 2020, 59(40): 17504-17510. DOI: 10.1002/anie.202008318. [本文引用:1]
[32] CHEN T, HU Y, CHENG B R, et al. Multi-yolk-shell copper oxide@carbon octahedra as high-stability anodes for lithium-ion batteries[J]. Nano energy, 2016, 20: 305-314. DOI: 10.1016/j.nanoen.2015.12.024. [本文引用:1]
[33] HANG G, ZHANG L L, ZHANG F F, et al. Metal-organic framework derived Fe2O3@NiCo2O4 porous nanocages as anode materials for Li-ion batteries[J]. Nanoscale, 2014, 6(10): 5509-5515. DOI: 10.1039/c3nr06041a. [本文引用:1]
[34] WANG Z Y, LOU X W. TiO2 nanocages: fast synthesis, interior functionalization and improved lithium storage properties[J]. Advanced materials, 2012, 24(30): 4124-4129. DOI: 10.1002/adma.201104546. [本文引用:1]
[35] JIAO J Q, QIU W D, TANG J G, et al. Synthesis of well-defined Fe3O4 nanorods/N-doped graphene for lithium-ion batteries[J]. Nano research, 2016, 9(5): 1256-1266. DOI: 10.1007/s12274-016-1021-1. [本文引用:1]
[36] LEE K S, PARK S, LEE W, et al. Hollow nanobarrels of α-Fe2O3 on reduced graphene oxide as high-performance anode for lithium-ion batteries[J]. ACS applied materials & interfaces, 2016, 8(3): 2027-2034. DOI: 10.1021/acsami.5b10342. [本文引用:1]
[37] LI Z P, YU X Y, PAIK U. Facile preparation of porous Co3O4 nanosheets for high-performance lithium ion batteries and oxygen evolution reaction[J]. Journal of power sources, 2016, 310: 41-46. DOI: 10.1016/j.jpowsour.2016.01.105. [本文引用:2]
[38] BAN C M, WU Z C, GILLASPIE D T, et al. Nanostructured Fe3O4/SWNT electrode: binder-free and high-rate Li-ion anode[J]. Advanced materials, 2010, 22(20): E145-E149. DOI: 10.1002/adma.200904285. [本文引用:1]
[39] LIU B, WANG X F, CHEN H T, et al. Hierarchical silicon nanowires-carbon textiles matrix as a binder-free anode for high-performance advanced lithium-ion batteries[J]. Scientific reports, 2013, 3: 1622. DOI: 10.1038/srep01622. [本文引用:2]
[40] WU F F, XIONG S L, QIAN Y T, et al. Hydrothermal synthesis of unique hollow hexagonal prismatic pencils of Co3V2O8· nH2O: a new anode material for lithium-ion batteries[J]. Angewand te chemie international edition, 2015, 54(37): 10787-10791. DOI: 10.1002/anie.201503487. [本文引用:2]
[41] YANG G Z, CUI H, YANG G W, et al. Self-assembly of Co3V2O8 multilayered nanosheets: controllable synthesis, excellent Li-storage properties, and investigation of electrochemical mechanism[J]. ACS nano, 2014, 8(5): 4474-4487. DOI: 10.1021/nn406449u. [本文引用:2]
[42] GONG F, XIA D W, BI C, et al. Systematic comparison of hollow and solid Co3V2O8 micro-pencils as advanced anode materials for lithium ion batteries[J]. Electrochimica acta, 2018, 264: 358-366. DOI: 10.1016/j.electacta.2018.01.112. [本文引用:2]
[43] PARK J S, KIM J H, KANG Y C. Synthesis of carbonaceous/carbon-free nanofibers consisted of Co3V2O8 nanocrystals for lithium-ion battery anode with ultralong cycle life[J]. Electrochimica acta, 2019, 313: 48-58. DOI: 10.1016/j.electacta.2019.04.189. [本文引用:2]
[44] ZHENG H, ZHANG Q, GAO H, et al. Synthesis of porous MoV2O8 nanosheets as anode material for superior lithium storage[J]. Energy storage materials, 2019, 22: 128-137. DOI: 10.1016/j.ensm.2019.01.005. [本文引用:1]
[45] YIN Z G, XIAO Y, WANG X, et al. MoV2O8 nanostructures: controlled synthesis and lithium storage mechanism[J]. Nanoscale, 2016, 8(1): 508-516. DOI: 10.1039/c5nr05602k. [本文引用:1]
[46] SHAHID M, LIU J L, ALI Z, et al. Structural and electrochemical properties of single crystalline MoV2O8 nanowires for energy storage devices[J]. Journal of power sources, 2013, 230: 277-281. DOI: 10.1016/j.jpowsour.2012.12.033. [本文引用:1]
[47] REDDY M V, WEN B L W, LOH K P, et al. Energy storage studies on InVO4 as high performance anode material for Li-ion batteries[J]. ACS applied materials & interfaces, 2013, 5(16): 7777-7785. DOI: 10.1021/am401501a. [本文引用:1]
[48] SAMBANDAM B, SOUNDHARRAJAN V, SONG J J, et al. Zn3V2O8 porous morphology derived through a facile and green approach as an excellent anode for high-energy lithium ion batteries[J]. Chemical engineering journal, 2017, 328: 454-463. DOI: 10.1016/j.cej.2017.07.050. [本文引用:1]
[49] YIN Z G, QIN J W, WANG W, et al. Rationally designed hollow precursor-derived Zn3V2O8 nanocages as a high- performance anode material for lithium-ion batteries[J]. Nano energy, 2017, 31: 367-376. DOI: 10.1016/j.nanoen.2016.11.049. [本文引用:1]
[50] VIJAYAKUMAR S, LEE S H, RYU K S. Synthesis of Zn3V2O8 nanoplatelets for lithium-ion battery and supercapacitor applications[J]. RSC advances, 2015, 5(11): 91822-91828. DOI: 10.1039/C5RA13904J. [本文引用:1]
[51] SHI Z L, RU Q, CHENG S K, et al. Hierarchically rambutan-like Zn3V3O8 hollow spheres as anodes for lithium-/potassium-ion batteries[J]. Energy technology, 2020, 8(5): 2000010DOI: 10.1002/ente.202000010. [本文引用:1]
[52] HE J J, LIU X L, CHEN X, et al. Synthesis and electrochemical performances of Zn3V3O8 as novel anode material for lithium ion battery application[J]. Journal of alloys and compounds, 2018, 741: 315-322. DOI: 10.1016/j.jallcom.2017.10.209. [本文引用:1]
[53] CHAI H, WANG Y C, FANG Y C, et al. Low-cost synthesis of hierarchical Co3V2O8 microspheres as high- performance anode materials for lithium-ion batteries[J]. Chemical engineering journal, 2017, 326: 587-593. DOI: 10.1016/j.cej.2017.05.162. [本文引用:1]
[54] ZHANG Q, PEI J, CHEN G, et al. Porous Co3V2O8 nanosheets with ultrahigh performance as anode materials for lithium ion batteries[J]. Advanced materials interfaces, 2017, 4(13): 1700054. DOI: 10.1002/admi.201700054. [本文引用:1]
[55] LUO Y Z, XU X, TIAN X C, et al. Facile synthesis of a Co3V2O8 interconnected hollow microsphere anode with superior high-rate capability for Li-ion batteries[J]. Journal of materials chemistry A, 2016, 4(14): 5075-5080. DOI: 10.1039/C6TA01339B. [本文引用:1]
[56] HU L, SHANG C Q. Co3V2O8 nanoparticles supported on reduced graphene oxide for efficient lithium storage[J]. Nanomaterials, 2020, 10(4): 740. DOI: 10.3390/nano10040740. [本文引用:1]
[57] SOUNDHARRAJAN V, SAMBANDAM B, SONG J J, et al. Co3V2O8 Sponge network morphology derived from metal-organic framework as an excellent lithium storage anode material[J]. ACS applied materials & interfaces, 2016, 8(13): 8546-8553. DOI: 10.1021/acsami.6b01047. [本文引用:1]
[58] JIANG J, LIU J P, HUANG X T, et al. General synthesis of large-scale arrays of one-dimensional nanostructured Co3O4 directly on heterogeneous substrates[J]. Crystal growth & design, 2010, 10(1): 70-75. DOI: 10.1021/cg9001835. [本文引用:1]
[59] SHI Y, WANG J Z, CHOU S L, et al. Hollow structured Li3VO4 wrapped with graphene nanosheets in situ prepared by a one-pot template-free method as an anode for lithium-ion batteries[J]. Nano letters, 2013, 13(10): 4715-4720. DOI: 10.1021/nl402237u. [本文引用:1]
[60] JIANG B B, HAN C P, LI B, et al. In-Situcrafting of ZnFe2O4 Nanoparticles impregnated within continuous carbon network as advanced anode materials[J]. ACS nano, 2016, 10(2): 2728-2735. DOI: 10.1021/acsnano.5b07806. [本文引用:1]
[61] CHO J S, HONG Y J, KANG Y C. Design and synthesis of bubble-nanorod-structured Fe2O3-carbon nanofibers as advanced anode material for Li-ion batteries[J]. ACS nano, 2015, 9(4): 4026-4035. DOI: 10.1021/acsnano.5b00088. [本文引用:1]