作者简介:卢静生(1988-),男,博士,副研究员,主要从事天然气水合物应用基础和海洋油气工程的研究。梁德青(1970-),男,博士,研究员,博士生导师,主要从事天然气水合物应用基础相关研究。
2020年第二次南海水合物试采证明水平井是实现产业化的重要途径,计划在2030年南海天然气水合物商业开发中补齐粤港澳大湾区天然气供给的短板。但我国海洋水合物甜点多赋存在高含水、边底水丰富的非成岩泥质粉砂储层,水平井开发过程中储层水(排液)易携泥砂(出砂)脊进突入井筒导致产量降低,水平井控水控砂完井是产业化的瓶颈问题之一。针对第二次水平井开发水合物出现的新问题,分析了海洋天然气水合物储层开发过程中的水平井非均衡排液出砂情况,总结了国内外水平井控水控砂实验、模拟和现场的进展,提出了水平井开采水合物控水控砂的难点及我国面临的挑战。分析结果表明,天然气水合物储层开发的水平井控水控砂与常规油气开发存在共性问题,也有其自身分解特点及其赋存的非成岩储层有关的特性问题。针对我国海域天然气水合物储层间各向异性明显、潜在的“四气合采”和“碳封存”,对水合物水平井控水控砂抽取和注入提出了具体的研究思路及建议,以期推动海洋天然气水合物产业化开发进程。
The second South China Sea hydrate test in 2020 proved that horizontal well is an important way to achieve industrialization, and the planned commercial development of gas hydrate in the South China Sea in 2030 will make up for the shortcomings of the natural gas supply in the Guangdong, Hong Kong, and Macau Bay Area. However, most of China’s marine hydrate desserts are located in non-rock-forming muddy silt reservoirs with high water content and abundant marginal bottom water, and reservoir water (discharge fluid) is prone to carry mud and sand (out sand) ridges into the wellbore during the development of horizontal wells, resulting in lower production. In view of the new problems arising from the second horizontal well development of hydrate, the unbalanced discharge of fluid and sand from horizontal wells during the development of marine gas hydrate reservoirs was analyzed, the progress of horizontal well water and sand control experiments, simulations and field at home and abroad were summarized, and the difficulties of water and sand control in horizontal well extraction of hydrate and the challenges in China were presented. The results of the analysis showed that horizontal well water and sand control for gas hydrate reservoir development had common problems with conventional oil and gas development and also had its own decomposition characteristics and its own characteristic problems related to the unformed reservoir in which it was embedded. In view of the obvious anisotropy between gas hydrate reservoirs and potential “four-gas co-production” and “carbon sequestration” in China’s waters, specific research ideas and recommendations for the extraction and injection of water and sand control in hydrate horizontal wells to promote the industrial development of marine gas hydrates were proposed. Specific research ideas and recommendations on water control and sand injection in horizontal hydrate wells presented in this paper may help to promote the industrial development of marine gas hydrate.
国家能源发展中长期规划要求天然气在一次能源消费结构中占比翻倍, 向非常规天然气要产能是实现这一目标的必由之路[1]。天然气水合物是潜在的非常规天然气资源, 是一种由气体(或易挥发的液体)与水在一定温度和压力条件下形成的冰状固体, 俗称可燃冰, 据估计其总量为全球常规化石能源(煤、石油、天然气等)含碳量的2倍, 具有储量大、分布广泛、污染小等特点, 被各国列为潜在的战略能源资源。我国在祁连山冻土区和南海海域都有丰富的水合物矿藏, 2017年5月南海水合物首次试采取得重大突破[2, 3], 2017年11月天然气水合物被列为我国第173个新矿种[4], 大大加速了我国水合物产业化进程。2020年南海水合物第二次试采1个月产气总量86.14万m3、日均产气量2.87万m3, 成功实现从“ 探索性试采” 向“ 试验性试采” 的阶段性跨越[5]。广东省政府、自然资源部和中国石油集团以2030年进入产业化开发为目标开展水合物相关工作, 服务“ 海洋强国” 战略, 助力“ 粤港澳大湾区” 建设。
第二次南海水合物试采证明水平井是实现产业化的首选[5], 而水平井开发边底水油气藏存在边底水局部突入油气井而导致产量降低或无法进行工业性开采, 被称为“ 边底水脊进” [6](图1a)。根据“ 水合物资源金字塔” (the gas hydrates resource pyramid)模型[7], 约90%的水合物资源量在海域储层, 是开采首选[8]。但其中85%的海域水合物资源为非成岩水合物储层[4, 8], 相比于深水气井, 海域水合物储层含水率高且边底水丰富。BOSWELL等[9]认为流动水广泛存在于整个天然气水合物储层系统中, 包括上覆和下覆边界, 这些边界曾经被认为是不透水的。但是, 在大部分的天然气水合物储层系统中, 上覆和下覆边界(无水合物或无水合物渗透性差)地层中也普遍存在过量的游离水, 且可能具有一定的连通性。这种内部水源的特征复杂, 难以解释, 可能高度异质性, 并可能对降压生产构成重大挑战。流体流动的主要影响如下:(1)沉积物运移, 包括砂和细粒沉积物需要有效的工程控制和潜在的补救措施; (2)地质力学响应, 包括局部压实, 这会降低储层孔隙度和渗透率, 并对井筒组成部分产生应力和潜在沉降, 尤其是在海洋系统中; (3)无法保持降压, 这是由于从储层中抽取的水被一系列外部水源替代; (4)生产后勤和工艺方面的复杂性, 比如大量产出水的管理, 以及对人工举升、流动保障系统和地面处置的需求增加。因此, 水平井开发水合物易出现边底水脊进而导致产能降低, 且水突入井筒是出砂的重要诱因; 出砂是制约水合物长期生产的瓶颈问题[10](图1b)。防砂技术是关键中的关键, 国外此前两次海上试采都受制于这一环节, 既要防止泥砂堵住井筒, 又不能全部防死, 否则可燃冰里的天然气就难以开采[11]。苏联麦索雅哈陆域水合物田(1967年)、加拿大麦肯齐陆域水合物试采(2007年, 2008年)、美国阿拉斯加北坡陆域水合物试采(2008年, 2012年)都有出砂情况[11, 12]。日本海域水合物试采(2013年, 2017年)都受制于大规模产水出砂问题, 我国南海海域水合物试采(2017年, 2020年)都有泥砂产出[2, 5], 影响商业化开发进程(表1)。
| 图1 (a)水平井开采的底水脊进示意图; (b)水平井开采水合物井筒均衡排液示意图[6]Fig. 1 (a) Diagram of bottom water ridge progression for horizontal well exploitation; (b) diagram of equalized fluid discharge from hydrate wellbore for horizontal well extraction[6] |
| 表1 水合物开采方法、排液及防砂完井现场案例(补充修改自文献[2-4, 11-12]) Table 1 Hydrate exploitation method and sand control technology (supplement and modified from literature [2-4, 11-12]) |
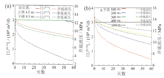
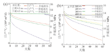
我国南海水合物多赋存在1 000多米深水非成岩泥质粉砂储层[13], 本就是常规油气防砂方法的极限, 且水合物储层含水率高、边底水丰富, 同时水合物分解会进一步导致储层含水率上升, 未来产业化开发的长期、高产、深海浅软储层、高生产压差等因素易出现严重的水脊进和出砂, 甚至引发严重的工程地质灾害和环境问题[14]。根据我国第二次水合物试采的井身结构设计(图2), 由于储层分布非均及各向异性, 其水平井的排液产气易出现渗透率非均匀排布(图3), 我国第二次水平井试采不同工况水平段产能不同(图4), 可能导致排液产气异常, 易出现储层水、边底水脊进、出砂, 甚至倒流, 严重制约了水合物商业开发。
| 图2 2020年第二次南海水合物试采水平井井身结构设计[5]Fig. 2 Design of horizontal well structure for the second South China Sea hydrate test in 2020[5] |
| 图3 不同储层条件下水平井段渗流示意图[6]Fig. 3 Schematic diagram of seepage in a horizontal well section under different reservoir conditions[6] |
| 图4 中国第二次水平井试采不同工况水平段产能模拟[5]:(a)不同垂向位置穿越试采矿体日产气量与井底流压关系预测图; (b)不同长度水平段日产气量与井底流压关系预测图Fig. 4 Production simulation of horizontal well under different conditions[5]: (a) effect of gas production on bottom-hole pressure with different vertical positions of horizontal segment through the target sediment; (b) effect of gas production on bottom-hole pressure with different horizontal segment lengths |
储层水脊进和出砂是水合物高效安全长期开发不可回避的问题, 需要考虑水合物开采过程中相态变化、储层和井筒多相渗流等对排液和出砂的影响, 采用相对应的均衡排液技术和防砂技术[15, 16]。目前现场试采成本高, 室内多尺度实验和计算模型研究是可行的方法。
水平井开发底水油气藏的突出问题是边底水非均衡排液, 即局部脊进突入油气井, 包括跟端脊进和非均匀脊进等, 尤其集中在渗透率最高的地方容易发生, 造成储层较大的损害。目前常用均衡排液技术, 即采用避射、打隔板、中心油管带节流喷嘴等技术可有效延缓和控制水平井开采过程中非均匀排液[6], 对水平井开发水合物起到控水控砂的作用。然而水平井开发海洋天然气水合物处于起步阶段, 目前研究尚不充分。
实验方面, OYAMA等[17]发现出砂发生在水合物不稳定的降压过程, 水流是出砂的驱动力而非分解气流, 水流速度是出砂的主要影响因素, 因此井筒均衡排液是降低水合物出砂的关键。YU等[18]发现初始水合物饱和度和气液流量影响出砂特性。JUNG等[19, 20, 21]阐释印度洋水合物储层中不同粒度细粉砂对多孔介质的运移和堵塞机理(不含水合物), 明确提出细粉砂对水合物开采影响较大, 且水相渗流是水合物储层出砂的主因, 李彦龙[22]更进一步提出稳定的水相渗流是水合物地层出砂的主要动力, 为水平井控水控砂提出更高要求。MURPHY等[23]基于实验提出日本2013年水合物试采储层细砂为松散砂, 其出砂表现为砂结构稳定的整体出砂, 而非局部出砂, 对水平井整体埋井风险远远大于垂直井。但SUZUKI等[24]实验模拟日本2013年水合物试采, 仅有细砂侵入, 未发现大规模出砂, 与试采结果不符。董长银等[25]通过南海高泥质细粉砂(不含水合物)对筛管挡砂机制及控砂可行性评价实验, 揭示筛管介质挡砂的4种机制, 具有控砂的可行性。黄芳飞等[26]探讨了油气开发及水合物试采过程中气-液-砂多相临界携砂的实验研究成果, 综述了多角度管路中气-液-砂多相临界携砂机理及临界携砂流速的关键影响参数(表2)。CHEN等[27]通过384组实验, 研究了水合物开采过程中流量、出砂体积浓度(volumetric concentration of sand production, VCSP)、砂直径和井斜对微米级砂粒运移和沉降的影响, 大流量、小粒径、小倾角、小VCSP均可降低砂沉降量。ZHANG等[28]通过对比不同井型(水平井和垂直井)、不同防砂技术(砾石充填和筛网)的水合物储层开采实验, 得到采用砾石充填结合防砂筛管的直井出砂量比仅采用防砂筛管的直井低50%, 而在径向井中, 砾石充填结合防砂筛管比单独使用筛管可减少87%的出砂量, 在同一开发时间内, 采用复合防砂方法的径向井的累计产气量和采收率均优于未采用砾石充填的径向井, 其核心在于两种方式对气水流体的控制, 砾石相对于筛管提供了更大的流体缓冲区, 排液更加稳定。LI等[29]开展了水合物储层筛管防砂实验, 发现防砂筛管可以防止出砂, 但是增加了流动阻力, 导致平均产气量降低了76% ~ 96%, 因此针对水平井必须考虑均衡排液的问题。
| 表2 水平管道气-液-砂多相流颗粒流动状态划分[26] Table 2 Classification of particle flow states in horizontal pipeline gas-liquid-sand multiphase flows[26] |
常规油气应用方面, 2022年3月, 中油国际(阿布扎比)公司海上下扎库姆油田2022年首口超长水平井成功完井, 终于实现均衡排液的流动控制技术, 但在海洋油气工程及水合物开发领域尚需要进一步研究[30]。中国海油能源发展工程技术公司推出了“ 黏度敏感流量阀控水(autonomous inflow control device, AICD)” 技术, 利用套管环空封隔器(annulus casing packer, ACP)管外分段, 下入AICD控水中心管柱至生产层, 适用于地层原油黏度大于20 cp、液量大于50 m3/d、含水小于95%的井况, 可实现边底水油藏流体流量的平衡控制和全水平段的均衡产出[31]。
数值模拟方面, MORIDIS等[32]发现水合物储层在降压开采中剪切破坏促进地层沉降, 存在出砂风险。DEUSNER等[33]和UCHIDA等[34]建立水合物地层出砂理论模型(sand production model in gas hydrate-bearing sediments), 预测日本和印度水合物试采的出砂演化过程及发生位置, 经过日本中粗砂层水合物试采数据历史拟合, 适用性较好。YAN等[35]针对南海水合物开采, 发现初期出砂与初始水合物饱和度无关, 但高初始水合物饱和度储层后期出砂受水合物饱和度下降影响大。张怀文等[36]还发现开采过程中储层最大等效塑性应变增大导致出砂增大, 细分出4个出砂阶段。NING等[37]发现高井底压差的低渗储层, 出砂多由于剪切破坏引起, 气水运移引起的少。刘浩伽等[38]计算了水合物分解区地层砂粒启动运移临界流速。YU等[39]评估水合物高泥质粉砂储层防砂方法对产气效率和出砂的影响, 适当防砂能提升开采效率。ZHU等[40]发现固相的分离和运移主要发生在井筒附近且出现堵塞区, 降低降压速率可缓解出砂, 且抑制产气不明显, 防砂装置虽抑制出砂但易堵塞导致产气量下降。熊友明等[6]建立了油藏底水均衡排液的计算模型, 但目前不适用水合物开发的气-液-固多相流固耦合情况。苏义脑等[41]通过建立流道几何模型, 研究水合物开采过程中井筒水流的节流螺旋管段的微米级砂粒运移沉积规律, 获得了不同条件下微米级砂粒临界不沉积水速。李彦龙[22]提出了水合物试采水平井砾石充填工艺参数优化设计, 推荐南海水合物试采井控砂介质挡砂精度设计采用“ 防粗疏细” 的方法; 建议采用“ 轻质砂 + 低砂比 + 降黏剂” 组合工艺延长充填延伸极限、拓宽砾石充填工艺。卓鲁斌等[42]发现由于上覆层传热和气水重力差的影响, 降压开采易形成次生气顶, 在水合物藏上部布设水平井有利于降低分解气的超覆, 可提高采收率, 避免底水的影响。SHANG等[43]研究了单口水平井和两口平行水平井的产气动态, 认为水平井采气可以产生较高的产气量, 特别是在游离气的贡献下, 尤其是在生产的早期阶段。同时建议在水合物层底部设置水平井, 不仅可以在产气中提取游离气, 而且可以诱导更多的水合物分解, 并采用两条平行水平井配置时, 双井网可产生协同效应, 加速水合物分解, 降低产水量。游离气饱和度和束缚水饱和度的敏感性分析表明, 这两个因素中的任何一个都可能导致较高的气水比。
卢静生等[44, 45, 46]通过三维天然气水合物开采出砂及防砂装置, 开展了含水合物储层开采的水平井开采及出砂实验, 发现水合物储层的“ 分阶段分级出砂” 规律和“ 泥质粉砂储层失水造壁性” 。结合实验发现水合物储层水流对出砂的严重影响以及南海第二次试采存在的水平井排液不均问题, 提出并获得授权了中国发明专利“ 一种天然气水合物水平井均衡排液测试装置及方法” (图5)。通过均衡排液技术优化控水控砂工况和工艺参数设置(井型、喷嘴、流速、压力等)实现水合物在水平井的控流(水)控砂控冰堵, 进一步实现出砂/防砂/井筒携砂/流动保障/碳封存等为一体的固相控制策略[47]。
从目前的研究来看, 相较于常规油气井, 水合物井既存在深水常规油气的共性问题, 也存在水合物及水合物井的特性问题。
(1)天然气水合物储层水及边底水的精细刻画
水是天然气水合物成藏的必要条件, 因此在天然气水合物开采过程中难以避免见水的情况。相较于常规油气及页岩气藏, 在天然气水合物藏及其周边都存在大量的储层水、边底水情况, 如何在开发过程中降低边底水是均衡排液技术在常规油气中的重要应用。目前短期水合物试采已经有边底水的影响, 同时油气井长期开采都有可能出现边底水脊进等出水的问题, 未来长期、高生产压差、高含水的水合物储藏也存在较大的出水风险。因此, 储层水及边底水的精细刻画是高效开发设计的前提。
(2)深水油气钻完井装备在水平井水合物开发的冗余大
现有的水合物藏较难形成常规油气的自喷情况, 水合物井及流化井多通过电潜泵(electric submersible pump, ESP)等装备抽取气液或者气-液-固降压进行开采。现有海洋油气工程装备的防喷器(blowout preventer, BOP)、大口径套管等装备冗余不仅增加了开发成本, 也增大了水平井均衡排液系统精准控制的复杂程度及施工难度。近年来提出的深水功能舱水下生产系统、海底原位钻机等小型化深水开发装备理念及技术对未来长期的水平井均衡排液的适用性尚需进一步研究。
(3)水合物水平井的井筒流动保障问题
水平井筒比垂直井筒存在防砂难度大、井筒携砂困难、二次生成风险大等井筒流动保障难题, 尽管开展了很多的水平井开采水合物数值模拟, 但是水平井开采实际过程中排液、出砂和携砂等形成复杂气-液-固多相流问题, 以及水平井多相流中水合物生成相变冰堵(记忆效应、焦耳-汤姆孙效应等导致的水合物储层及井筒二次生成风险大)及砂堵等形成混合堵塞机制都十分复杂, 是难以回避的实际工程问题。同时, 针对单一砂堵塞、单一冰堵塞和砂冰混合堵塞的防堵塞(抑制剂、溶砂剂等)以及堵塞后清管技术在水平井段的应用时机、位置、用量和效率等问题也是亟待解决的现场问题。因此需要进一步研究揭示水平井井筒内的携砂/防堵/堵塞/解堵等流动保障机制, 以实现对开发过程中储层-井筒-井口的整体固相控制。
(4)储层改造及保护技术
储层改造是提高水合物储层低渗、均一性差、弱胶结等先天问题的重点技术手段, 可采用水平井段的压裂气液流体、射流气液流体、砾石充填完井液、功能性流体(抑制剂、多相态CO2)等均匀排液注入控水控砂技术与装备, 进而提高水平井段改造后的储层均一性, 是水平井控水控砂技术在储层改造及保护的重要应用。
(1)“ 四气合采” 的控水控砂技术及装备
尽管我国两次“ 地层流体抽取法” 降压开采南海天然气水合物未有公开资料提及产水情况, 但是“ 地层流体抽取法” [48]的原理是“ 以可燃冰的物性和在自然界的产出特征为基础, 针对可燃冰开发面临的储层沉积物易出砂、低渗等问题, 提出在储层和井壁稳定允许的降压幅度下, 通过各种方法(储层改造等)加大储层流体抽取量, 从而达到长期、高效、安全生产天然气水合物的方法” ; “ 固态流化法” 试采南海天然气水合物是通过射流、掘进及破碎后随流体一起抽取。因此, 都是气液流体一起抽取的情况, 必须考虑储层和井筒的控水控砂问题。周守为等[4]提出了水合物最有可能实现商业化的“ 三气合采” (自由气、水合物气及常规天然气), QI等[49]进一步指出我国海域天然气水合物储层的泥质粉砂吸附性和页岩气相近, 我国天然气水合物储层可能属于水合物储层伴生吸附气, 吸附气的解析可进一步释放水合物泥质粉砂储层的产能。因此, 我国天然气水合物的开发存在“ 四气合采” (自由气、吸附气、水合物气及常规天然气)的可能性, 复杂的储层分布及跨度为水合物开采控水控砂提出了新的要求, 尤其是不同储层间的水平井控水控砂是实现系统性商业化的保证。
(2)水平井增产的控水控砂技术及装备
针对水合物产能制约商业开发的问题, 与水平井开采均衡排液提升产能有关的配套工艺包括固相控制工艺(防砂、射孔等)、水射流工艺、压裂改造工艺(水力压裂、气驱压裂等)、注热功能性流体的技术及装备等, 然而目前缺乏水合物适用的低冗余、低成本装备。同时, 增产带来的长期高气液流速、高生产压差也存在潜在的工程和地质风险。尽管开采过程中降压速率对水合物储层的力学稳定性影响较大, 但是实际开采过程中, 主要是通过阀门和泵速的流量来控制产量, 因此井筒中流体速率(尤其是采收和注入水平井的排液情况)对井筒和储层的影响更大; 相较于成岩储层, 我国南海水合物泥质粉砂储层的力学失稳可能导致近井壁和储层结构失稳, 但不一定诱发出砂和滑坡等严重工程与地质灾害, 而未来高流速的气液流体可能易推动泥质粉砂细小颗粒出砂和近井壁“ 泥皮” 层的整体滑移, 将大大阻碍水合物的水平井增产。
(3)水平井水合物法碳封存的控水控砂技术及装备
根据我国沿海经济建设主战场— — 环渤海、长三角和粤港澳大湾区等地区的“ 碳中和” 需求, 二氧化碳置换开采水合物及水合物法埋存是实现水合物产业化的重要途径之一。通过海洋封存的碳汇补贴海洋水合物开采成本, 提高水合物产业化开发的经济性, 包括CO2-N2混合气体、CO2乳状液、CO2“ 可乐” 溶液、CO2超临界溶液、气液态混合CO2等多种注入技术的置换开采和封存, 以及以上技术单独注入海洋储层进行CO2水合物法封存。因此, 置换开采和封存的水平井均衡排液控水控砂的注入位置、注入时机、注入量、均衡扩散及封存是保证置换效率以及CO2水合物在储层长期稳定封存的基础。
随着各国天然气水合物试采工程研究的不断深入, 一部分控水控砂技术得到了验证, 取得了宝贵的经验。然而, 天然气水合物商业开采是一个系统工程, 针对第二次南海水合物水平井试采的新问题, 目前水合物水平井抽取和注入井筒的控水控砂方式能否达到均衡排液的效果, 是否可以直接用于商业开采及碳封存还需要进一步研究和验证。同时, 我国已经发现的海洋水合物储层多为泥质粉砂储层, 含水情况极为复杂, 进入井筒的大量泥质粉砂是常规油气所未见, 通过对水平井抽取与注入的排液机理的进一步研究, 对油气和水合物商业开发及封存的控水控砂具有重要价值。
| [1] |
|
| [2] |
|
| [3] |
|
| [4] |
|
| [5] |
|
| [6] |
|
| [7] |
|
| [8] |
|
| [9] |
|
| [10] |
|
| [11] |
|
| [12] |
|
| [13] |
|
| [14] |
|
| [15] |
|
| [16] |
|
| [17] |
|
| [18] |
|
| [19] |
|
| [20] |
|
| [21] |
|
| [22] |
|
| [23] |
|
| [24] |
|
| [25] |
|
| [26] |
|
| [27] |
|
| [28] |
|
| [29] |
|
| [30] |
|
| [31] |
|
| [32] |
|
| [33] |
|
| [34] |
|
| [35] |
|
| [36] |
|
| [37] |
|
| [38] |
|
| [39] |
|
| [40] |
|
| [41] |
|
| [42] |
|
| [43] |
|
| [44] |
|
| [45] |
|
| [46] |
|
| [47] |
|
| [48] |
|
| [49] |
|

