CO2乳液置换开采天然气水合物研究进展
吴思婷1,2,3,4,5, 卢静生1,2,3,4, 梁德青1,2,3,4,, 李栋梁1,2,3,4, 周雪冰1,2,3,4, 林德才1,2,3,4,6, 夏志明1,2,3,4
1.中国科学院广州能源研究所,广州 510640
2.广东省新能源和可再生能源研究开发与应用重点实验室,广州 510640
3.中国科学院天然气水合物重点实验室,广州 510640
4.天然气水合物国家重点实验室,北京 100028
5.中国科学院大学,北京 100049
6.中国科学技术大学 能源科学与技术学院,合肥 230026
†通信作者:梁德青,E-mail:liangdq@ms.giec.ac.cn

作者简介:吴思婷(1997-),女,硕士研究生,主要从事天然气水合物应用基础研究。
梁德青(1970-),男,博士,研究员,博士生导师,主要从事天然气水合物应用基础相关研究。

摘要

CO2置换开采及封存的碳汇是降低我国南海水合物产业化开采成本的重要路径,不仅能保障粤港澳大湾区经济建设所需的能源供给,而且能降低大湾区过量的碳排放,与气态、液态CO2相比,注入CO2乳液置换效率更高。综述CO2乳液在置换开采甲烷水合物中的应用,以及乳液的稳定性问题,讨论CO2乳液开采南海水合物的优势及难点,并对下一步CO2乳液法置换开采南海水合物进行分析,为未来天然气水合物开采及同步碳封存提供参考和建议。

关键词: 天然气水合物; CO2乳液; 置换; 甲烷
中图分类号:TK0 文献标识码:A 文章编号:2095-560X(2023)02-0147-08
Research Status of CO2 Emulsion Replacement for Gas Hydrate Exploitation
WU Si-ting1,2,3,4,5, LU Jing-sheng1,2,3,4, LIANG De-qing1,2,3,4, LI Dong-liang1,2,3,4, ZHOU Xue-bing1,2,3,4, LIN De-cai1,2,3,4,6, XIA Zhi-ming1,2,3,4
1.Guangzhou Institute of Energy Conversion, Chinese Academy of Sciences, Guangzhou 510640, China
2.Guangdong Provincial Key Laboratory of New and Renewable Energy Research and Development, Guangzhou 510640, China
3.CAS Key Laboratory of Gas Hydrate, Guangzhou 510640, China
4.State Key Laboratory of Natural Gas Hydrate, Beijing 100028, China
5.University of Chinese Academy of Sciences, Beijing 100049, China
6.School of Energy Science and Engineering, University of Science and Technology of China, Hefei 230026, China
Abstract

CO2 replacement mining and carbon sink sequestration is an important pathway to reduce the cost of industrial hydrate extraction in the South China Sea, not only to ensure the energy supply required for the economic construction of the Guangdong-Hong Kong-Macao Greater Bay Area, but also to reduce the excessive carbon emissions in the Greater Bay Area. Compared with gaseous and liquid CO2, the replacement efficiency of injected CO2 emulsion is higher. In this paper, the application of CO2 emulsion in the replacement of methane hydrate, and the stability of emulsion were summarized. The advantages and difficulties of CO2 emulsion in the exploitation of hydrate in the South China Sea were discussed, and the next step of CO2 emulsion replacement in the exploitation of hydrate in the South China Sea was analyzed. This work may provide reference and suggestions for future gas hydrate mining and simultaneous carbon sequestration.

Key words: natural gas hydrate; carbon dioxide emulsion; replacement; methane
0 引 言

天然气水合物又称可燃冰, 是一种笼形水合物。笼形水合物是由主体分子(如水)与客体分子(如甲烷、CO2等)在特定条件下形成的具有笼形结构的冰状晶体, 其中水分子间以氢键相互作用形成笼形空隙, 客体分子填充在笼形空腔内, 主体与客体间通过范德华力相互作用[1]。天然气水合物储量巨大, 1 m3的天然气水合物可释放出164 m3的甲烷[2]。目前我国在南海海域进行了3次成功的天然气水合物的试采[3, 4, 5, 6]

天然气水合物的开采方法主要有热激法[7]、降压法、注入化学试剂法和固态流化开采法。热激法需要大量的热量输入, 耗能较大[8]; 降压法起效慢, 效率低; 注入化学试剂法需要注入大量的化学抑制剂, 成本高。其次, 以上方法都难以避免开采天然气水合物过程中的海底地质结构的改变[9], 存在引起出砂[10]、海底滑坡[11]、海啸等工程和地质灾害[12]

近年来, 一种新的天然气水合物开采方法引起了研究人员的广泛关注, 即CO2置换法。此方法在开采天然气水合物的同时, 能对CO2进行海底封存, 既降低了碳排放, 又稳定了地层, 可将能源生产和环境保护结合起来, 与传统开采方法相比具有不可比拟的优势[13]。注入的CO2状态可以是气态、液态、乳状液和超临界状态。气态CO2置换简单便捷, 其主要依靠气体分子扩散至甲烷水合物层进行置换反应, 但反应中后期置换速率慢, 无法满足商业化开采的需求, 并且可能存在CO2气体泄漏的风险。当地层中存在自由水时, 溶解在自由水中的CO2气体与自由水形成的CO2水合物的数量远远超过从水合物中替换CH4的数量[14, 15]。与气态CO2相比, 使用液态CO2置换天然气水合物可加大CO2与甲烷水合物层的接触面积, 提高置换率[16]。但是由于储层表面均被液态CO2覆盖, CO2与储层表面的孔隙水反应生成CO2水合物膜覆盖在储层上面[17], 储层的渗透率降低, 液态CO2难以渗透到储层下方进行置换反应, 短时间内液相CO2很难完全转化为水合物相, 导致气体生产效率低下。当温度高于31℃、压力高于7.38 MPa时, CO2进入超临界状态。此时CO2仍然呈气态状, 并未液化, 其既具有气体的部分性质, 也具有液体的部分性质[18]。通过向含水合物沉积物中注入超临界CO2生产CH4的技术策略可被认为是使用注入流体进行储层化学活化和额外热刺激的组合, 热的超临界CO2有效激活了CH4水合物储层, 克服了通常使用冷CO2观察到的传质限制, 但大量热损失对注入超临界CO2的可行性提出了挑战[19]

气态、液态CO2置换开采天然气水合物的过程中, 随着反应的进行, 反应后期替换率变慢, 最终停止反应。为提高置换速率, OHGAKI等[20]提出CO2乳液置换开采天然气水合物, 以确保地层的稳定性, 也可有效缓解全球变暖问题。当乳液中CO2与H2O的比例合适时, 所形成的CO2水合物膜不会完全覆盖在甲烷水合物层上方, 给气体分子运移留出了通道, 同时又具有一定的渗透性, 可以抵御上覆海水的侵入。

1 CO2置换法的可行性
1.1 CO2置换开采水合物的理论基础

CO2置换开采水合物是利用CO2水合物和CH4水合物之间的相平衡差, 将水合物中的CH4开采出来, 同时封存CO2, 该方法在热力学和动力学上均证明是可行的[21]。如图1所示[22], 在A区与B区, CO2水合物可以稳定存在, 而CH4水合物不稳定, 该区域可用CO2去替换CH4。研究表明, CO2水合物形成释放的能量为57.98 kJ/mol, CH4水合物分解吸收的能量为54.49 kJ/mol, 这种转换反应的吉布斯自由能为负值, 为自发过程[23]。OHGAKI等[20]研究了CO2-CH4混合水合物体系气相、液相和水合物相中压力和温度的等温相平衡关系, 发现CH4在气相和水合物相的平均分配系数约为2.5, 即水合物相中的CH4被CO2选择性地取代, 首次证明了CO2分离联合甲烷开采的可能性。

图1 CH4、CO2水合物形成条件[22]Fig. 1 Formation conditions of CH4 and CO2 hydrate[22]

1.2 CO2置换开采水合物的案例

2008年, 美国地质调查局完成了对阿拉斯加北坡下未发现的、技术上可开采的天然气水合物资源的首次评估(图2[24]。2012年5月5日, 美国康菲石油公司、日本国家油气和金属公司及美国能源部完成了首个用于调查研究天然气水合物藏中CO2-CH4置换潜力的现场试验工程— — Ignik Sikumi天然气水合物现场试验。实验所选区域呈现出相对大块且均匀的砂岩单元, 水合物饱和度约为60% ~ 72%, 选择684 ~ 493 m深度的“ C-1砂层” 作为主要测试层段。在油田试验框架内, 将6 114 m3的混合物(CO2和N2的摩尔分数分别为22.5%和77.5%)注入水合物储层。在生产期间, 总共释放了24 410 m3的CH4, 开采结束后储层中残留了30%的N2和60%的CO2, 证明了CO2置换甲烷水合物的可行性[25]。然而气体注入的置换开采极容易导致储层气体压裂和储层泄漏, 因此需要研究更为安全的CO2置换方法。

图2 美国阿拉斯加冻土区水合物[24]Fig. 2 Hydrate in permafrost regions in Alaska, USA[24]

2 CO2乳液置换开采甲烷水合物的研究进展

2004年, MCGRAIL等[26]提出CO2乳液置换开采甲烷水合物技术, 并测试了CO2气体穿透大块甲烷水合物的速度, 穿透实验结果表明, 在0℃、2.5℃、4.5℃下CO2渗入甲烷水合物的速率仅为0.22 mm/h、0.55 mm/h、1.3 mm/h。为提高天然气水合物回收效率, 提出了注入CO2微乳液开采天然气水合物的方法。注入实验证明了该方法的可行性, 但作者并未阐明CO2乳液的制备、乳液法开采天然气水合物的效率、影响甲烷回收率的因素等。为了获得捕获CO2的最佳参数, PHALE等[27]利用STOMP-HYD模拟器, 验证压力、温度、CO2微乳液注入速率和注入浓度对甲烷水合物解离的影响。采用一维水平油藏模型, 当CO2微乳液从15℃升高至25℃(此时CO2由液相变为气相), CH4气体穿透要更快, 回收的CH4总量也更多; 乳液中CO2浓度从25%增加至75%时, CH4穿透的时间加快, 但回收的CH4量却逐渐减小; 在注入温水的情况下, 渗透率为1达西时, 无甲烷气体生成; 10达西时, 有甲烷气体生成。采用二维模拟实验, 分析不同CO2浆液浓度下CO2微乳液温度对甲烷生成的影响。结果表明, 对于低CO2浓度(40% ~ 45%), 中等CO2浆液温度(25℃左右)可获得较高的CH4回收率; 对于中等浓度CO2(约50%), 回收的甲烷量随乳液温度升高而增大。当CO2浆液浓度增加到60%以上, 最终CH4回收率急剧下降。从二维分析结果可知, 在中等浓度和较高温度下注入CO2乳液可能有助于优化甲烷回收。

图3所示, 周锡堂[28]将CO2置换水合物中CH4可能的温度和压力划分为5个区域:A区— — CH4水合物不稳定存在, CO2水合物稳定存在, CO2呈液态; B区— — CH4水合物及CO2水合物均能稳定存在, CO2呈液态; C区— — CH4水合物及CO2水合物均能稳定存在, CO2呈气态; D区— — CH4水合物不能稳定存在, CO2水合物能稳定存在, CO2呈气态; E区— — CH4水合物和CO2水合物均不能稳定存在, 对此本研究不进行讨论。研究结果表明, 同等条件下, CO2乳液的置换率高于液态CO2。在B区以CO2乳液置换CH4水合物时, 其最高置换率仅为6.48%, 表明在CO2水合物和CH4水合物均稳定存在的条件下不适宜进行置换。

图3 CO2置换水合物中CH4可能的温度和压力区域[28]Fig. 3 Possible temperature and pressure regions for CO2 replacement of CH4 in hydrate[28]

在区域A中, ZHOU等[29]使用三组不同CO2和水质量比(C/W)的乳液从石英砂水合物中置换CH4, 在285.2 K、50 MPa时, 通过比较不同CO2含量下电阻与乳化时间的关系发现(图4), C/W为90∶ 10、70∶ 30、50∶ 50时系统电阻达到稳定所需时间分别为90 min、70 min、50 min。随后, 通过测定乳液的电阻与静止时间的关系发现, C/W为90∶ 10、70∶ 30、50∶ 50时体系稳定时间分别为7 h、10 h、12 h, 表明CO2含量少更容易形成乳液并且能更稳定地存在。由图5可知, 用90∶ 10乳状液置换的效果最好, 这与PHALE等[27]通过模拟得出的CO2乳液浓度越高置换CH4越少的结论相反。

图4 不同CO2含量的电阻与乳化时间的关系[29]Fig. 4 Relationship between resistance of different CO2 content and emulsification time[29]

图5 CO2乳液对CH4的置换率与时间的关系[29]Fig. 5 Relationship between replacement rate of CO2 emulsion for CH4 and time[29]

YUAN等[30]认为限制置换率的控制步骤为CH4分子从水合物表面向气相扩散和CO2分子从气相向深层水合物含水层扩散, 然而先前关于CO2乳状液置换的研究并不侧重于通过改进控制步骤来提高置换率。因此, YUAN以十二烷基硫酸钠(sodium dodecylsulfate, SDS)和聚氧乙烯山梨醇单油酸酯(Tween 80)为乳化剂(Tween 80可使乳液更加亲水并降低乳液的抗流动性, SDS使新形成的水合物颗粒层更疏松), 制备一种新型的C/W乳液, 并在三维反应器中评估了该CO2乳状液在多孔介质中从水合物中置换CH4的效果。结果表明, 添加适当浓度的SDS有利于C/W乳液的稳定; 随着Na2SO4浓度的增加, CO2乳液的稳定时间缩短。高搅拌速率、低温和高压有利于CO2乳液稳定性。为研究CO2乳液置换甲烷水合物的性能, YUAN等[30]进行了3组实验, 由图6反应器中CH4和CO2摩尔分数随时间的变化可知, 在实验组A中, 水合物储层温度为281.2 K(CO2水合物稳定区, CH4水合物不稳定区), 乳液温度为293.2 K, 随着置换反应进行, CO2和CH4的摩尔分数变化微小, 表明CO2乳状液置换法不适用于条件接近平衡曲线的水合物储层; 在实验组B置换过程中, 水合物储层温度为275.7 K(CO2、CH4水合物稳定区), 乳液温度为290.2 K, 反应器中CH4的摩尔分数增加, CO2的摩尔分数减少, 表明置换过程有效进行。实验组C在实验组B的基础上额外添加了质量浓度为3.35%的Na2SO4, 结果显示CH4和CO2的摩尔分数发生变化的时间早于实验组B, 且CH4的质量分数更高, 表明实验组C的置换效果优于实验组B的置换效果。这与ZHOU等[29]的结论不一致。ZHOU等指出在液态CO2置换CH4水合物的情况下, 与CO2、CH4水合物均稳定存在区相比, CO2水合物稳定区、CH4水合物不稳定区的置换率更大。

图6 反应器中CH4和CO2摩尔分数随时间的变化[30]Fig. 6 Change of CH4and CO2 mole fraction in reactor with time[30]

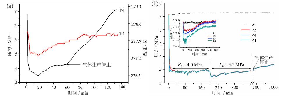
以往对水合物的研究主要集中在完全封闭的系统中, 忽略了可开采的水合物主要聚集在高渗透砂岩储层中, 为消除可渗透边界导致的低采气效率, SUN等[31]提出了储层改造的概念, 比较了使用和不使用人工CO2水合物盖层(hydrate cap)减压生产甲烷的产水量和甲烷回收率。置换反应在一个管式反应器中进行, 其由7个管子组成, 3个蓝宝石管和4个不锈钢管间隔排列。CO2从反应器上方注入, 并在反应器上安装了4个温度传感器和4个压力传感器, 从上到下依次为T1 ~ T4、P1 ~ P4。结果如图7所示, 无CO2水合物盖层时, P4、T4(反应器最下方、水合物带最底部)仅在注入乳液20 min后开始增加, 表明上覆海水已穿透渗透性盖层并侵入甲烷水合物带, 在140 min后, 水合物层已完全被海水穿透, 导致高产水量和低气水比。有CO2水合物盖层时, 在整个CO2乳液注入过程中, T1、T2(水合物带上部)温度无明显波动, 表明CO2水合物盖层的渗透率极低, 且盖层机械稳定。通过比较减压过程中甲烷回收率曲线, 可知水合物盖层的最佳CO2与H2O体积比为1∶ 1。为提高CO2水合物盖层的机械稳定性和密封特性, CUI等[32]通过实验考察注入温度、注入速度和上覆压力等对甲烷回收率的影响。结果表明, 较低的CO2乳液注入温度、注入速率、上覆压力有利于形成低渗透率、高机械稳定性的CO2水合物盖层。

图7 减压过程中的温度和压力变化:(a)无CO2水合物水合盖层; (b)有CO2水合物盖层[31]Fig. 7 Temperature and pressure changes during decompression: (a) CO2 free hydrate cap; (b) CO2 hydrate cap[31]

为克服降压开采效率低下的问题, 颜雨[33]利用CO2乳液改造盖层并开展水合物降压开采研究。通过改变乳化剂种类、乳化剂复配、含盐量、含水量和搅拌速率考察乳液的稳定性, 实验结果表明辛烷基苯酚-10(OP-10)对CO2乳液稳定性能优于Tween 80和脱水山梨醇单棕榈酸酯(Span 20), 且OP-10与SDS复配效果优于OP-10、OP-10与四丁基溴化铵(tetrabutylammonium bromide, TBAB)复配。此外, 研究发现搅拌速率越高, CO2乳液稳定性越强; 含水率为50%的CO2乳液稳定性最强; 含盐量越高, 乳液稳定性下降。但YUAN等[30]在置换过程中添加Na2SO4时其置换效果优于未添加盐的乳液(见图6中的实验组B和实验组C), 作者分析认为Na2SO4溶液有助于减少孔隙堵塞趋势, 使CO2和CH4更容易在沉积物中渗透。

3 讨论

使用CO2乳液比使用气态、液态CO2更有利于置换过程的进行, 低温、高压和高搅拌速率有利于乳液稳定性, 但利用CO2乳液开采天然气水合物也存在一些问题。

3.1 CO2乳液开采水合物研究难点

乳液的稳定性与CO2压力、温度、盐度、含水率、表面活性剂等有关。关于置换反应的温压条件在CO2水合物稳定区、CH4水合物不稳定区还是CO2、CH4水合物稳定区, 学者间存在争议。盐浓度增加时, 乳液稳定性降低, 但有学者认为盐有助于减少孔隙堵塞趋势, 使CO2和CH4更容易在沉积物中渗透。ZHANG等[34]研究发现通过简单地改变盐浓度, 可实现乳液的双相反转。当NaCl浓度低于5 mmol/L时, 形成水包油(O/W)型乳液(外相是水、内相是油); 当NaCl浓度在5 ~ 20 mmol/L之间可形成油包水(W/O)型乳液(外相是油、内向是水); 当浓度高于50 mmol/L时为O/W型乳液。此外, 为稳定乳液加入的表面活性剂在盐的作用下可能会失效。QIN等[35]研究发现, 乳液中添加NaCl后, NaCl与阴离子表面活性剂双(2-乙己基)磺基丁二酸钠(dioctyl sulfosuccinate, AOT)之间发生了化学反应, 表明盐存在的情况下, AOT对CO2乳液无稳定作用。由此可见, 盐度对乳液稳定性、置换率的影响较为复杂, 目前还缺乏深入研究。

CO2含量少更容易形成乳液并能稳定存在, 但CO2含量大时, 置换率更高, 如何平衡CO2乳液的稳定性与置换率之间的关系并没有统一的答案。CO2乳液置换开采水合物首先要考虑乳液的稳定性问题。CO2乳液稳定需要加入大量的乳化剂, 目前关于乳化剂的种类及使用剂量的研究较少; 乳化剂的大量使用增加了生产成本, 也可能会对海洋环境造成影响[36]。因此, 未来还需要研究开发一些价格低廉、环境友好的乳化剂。此外, CO2乳液注入开采天然气水合物缺乏长期存储测试。UCHIDA等[37]在热力学稳定条件下测试了CH4-CO2混合气体水合物的长期存储性能, 结果表明水合物相对不稳定, 在190 K、0.1 MPa条件下, 超过两个月后混合天然气水合物的总气体含量有所下降, 且CO2比CH4下降更多。

有关CO2置换开采CH4水合物的微观机理还未有定论, 不利于从关键步骤着手提高置换效率[38]。有研究表明, CO2置换开采天然气水合物只在相界面上进行, 即完全依赖气体分子的扩散和渗透, 置换速度慢[39]。XU等[40]认为置换反应机理是CO2引入导致CH4水合物的解离, 最后CO2水合物形成。未来还需要对置换机理做进一步研究, 以寻找提高置换效率的最优方法。

3.2 CO2乳液增产开采南海水合物的优势及难点

2013年, 中国第二次海洋水合物考察队GMGS2在南海东沙海域进行了考察, GMGS2所勘探的东沙地区位于GMGS1所勘探的神狐地区东北约500 km处。东沙地区的沉积物以粉质黏土和浊积物互层为特征, 是迄今为止地质结构最复杂、水合物资源最丰富的海相天然气水合物聚集区之一[41]。然而东沙地区上部的水合物藏属于M1(4类), 即海洋水合物中无上覆盖层和下覆盖层, 因此上部水合物采用降压法开采过程中, 上覆海水极易进入水合物分解区, 导致高产水率和低气水比。采用CO2乳液对水合物储层进行盖层改造, 可以降低产水率, 提高生产效率, 还可以保护枯竭的CH4水合物带的地质稳定性, 封存大量的CO2, 具有能量和环境意义[42]

目前用CO2成功置换开采水合物的Ignik Sikumi天然气水合物试验区属于冻土区水合物, 与海洋水合物开发相比其成本相对较低。深水天然气生产系统需要大量的投资, 包括海上平台(张力腿平台、半潜式、浮式生产储层和卸载装置)、海底管线、压缩设施和到海岸的管道等; 此外在深水环境中, 人工举升采出水价格昂贵; 开采深海水合物还需要考虑出砂防砂问题, 因此深海水合物开采和运营成本都较大[43]。现阶段的CO2乳液置换开采水合物还处于实验研究阶段, 乳液的稳定性、乳液注入方式、CO2盖层的改造、开采过程中CO2盖层迁移机理等仍需要开展更深入、更广泛的研究工作, 以优化CO2乳液置换开采天然气水合物过程。

4 总结

随着各国天然气水合物成功试采, CO2置换开采天然气水合物是粤港澳大湾区最有潜力的一种水合物开采方法, 既满足经济建设对清洁能源需求, 又实现过量碳排放的有效封存, 也通过海洋“ 碳汇” 补贴降低水合物开发成本。但天然气水合物商业开采是一个系统工程, 尽管在冻土区有成功案例, 但目前纯气体置换水合物存在一定的泄漏风险, 因此CO2乳液置换是一种可行的方法。CO2乳液置换的效率、与水合物沉积物的配伍性以及安全环保价廉的乳液是研究的重点, 我国南海泥质粉砂水合物储层置换效果及中长期封存效果还有待进一步研究。

参考文献
[1] 张伟, 王赵, 李文强, . CO2乳化液强化置换水合物中CH4的作用研究进展[J]. 天然气化工, 2009, 34(1): 59-63. DOI: 10.3969/j.issn.1001-9219.2009.01.014. [本文引用:1]
[2] 刘玉山, 祝有海, 吴必豪. 天然气水合物——21世纪的新能源[J]. 矿床地质, 2012, 31(2): 401-404. DOI: 10.3969/j.issn.0258-7106.2012.02.019. [本文引用:1]
[3] ZOU C N, YANG Z, HE D B, et al. Theory, technology and prospects of conventional and unconventional natural gas[J]. Petroleum exploration and development, 2018, 45(4): 604-618. DOI: 10.1016/S1876-3804(18)30066-1. [本文引用:1]
[4] 周守为, 陈伟, 李清平, . 深水浅层非成岩天然气水合物固态流化试采技术研究及进展[J]. 中国海上油气, 2017, 29(4): 1-8. DOI: 10.11935/j.issn.1673-1506.2017.04.001. [本文引用:1]
[5] LI J F, YE J L, QIN X W, et al. The first offshore natural gas hydrate production test in South China Sea[J]. China geology, 2018, 1(1): 5-16. DOI: 10.31035/cg2018003. [本文引用:1]
[6] 叶建良, 秦绪文, 谢文卫, . 中国南海天然气水合物第二次试采主要进展[J]. 中国地质, 2020, 47(3): 557-568. DOI: 10.12029/gc20200301. [本文引用:1]
[7] TANG L G, LI X S, FENG Z P, et al. Control mechanisms for gas hydrate production by depressurization in different scale hydrate reservoirs[J]. Energy & fuels 2007, 21(1): 227-233. DOI: 10.1021/ef0601869. [本文引用:1]
[8] LI B, WEI W N, WAN Q C, et al. Numerical investigation into the development performance of gas hydrate by depressurization based on heat transfer and entropy generation analyses[J]. Entropy, 2020, 22(11): 1212. DOI: 10.3390/e22111212. [本文引用:1]
[9] LI Y H, LIU W G, ZHU Y M, et al. Mechanical behaviors of permafrost-associated methane hydrate-bearing sediments under different mining methods[J]. Applied energy, 2016, 162: 1627-1632. DOI: 10.1016/j.apenergy.2015.04.065. [本文引用:1]
[10] 李彦龙, 胡高伟, 刘昌岭, . 天然气水合物开采井防砂充填层砾石尺寸设计方法[J]. 石油勘探与开发, 2017, 44(6): 961-966. DOI: 10.11698/PED.2017.06.14. [本文引用:1]
[11] WU Y, LI N, HYODO M, et al. Modeling the mechanical response of gas hydrate reservoirs in triaxial stress space[J]. International journal of hydrogen energy, 2019, 44(48): 26698-26710. DOI: 10.1016/j.ijhydene.2019.08.119. [本文引用:1]
[12] 刘锋. 南海北部陆坡天然气水合物分解引起的海底滑坡与环境风险评价[D]. 青岛: 中国科学院研究生院(海洋研究所), 2010. [本文引用:1]
[13] WANG Y H, LANG X M, FAN S S, et al. Review on enhanced technology of natural gas hydrate recovery by carbon dioxide replacement[J]. Energy & fuels, 2021, 35(5): 3659-3674. DOI: 10.1021/acs.energyfuels.0c04138. [本文引用:1]
[14] 李遵照, 郭绪强, 王金宝, . CO2置换法开发不同体系CH4水合物的实验[J]. 天然气工业, 2008, 28(5): 129-132. DOI: 10.3787/j.issn.1000-0976.2008.05.044. [本文引用:1]
[15] 李遵照, 郭绪强, 陈光进, . CO2置换CH4水合物中CH4的实验和动力学[J]. 化工学报, 2007, 58(5): 1197-1203. DOI: 10.3321/j.issn:0438-1157.2007.05.022. [本文引用:1]
[16] YUAN Q, SUN C Y, LIU B, et al. Methane recovery from natural gas hydrate in porous sediment using pressurized liquid CO2[J]. Energy conversion and management, 2013, 67: 257-264. DOI: 10.1016/j.enconman.2012.11.018. [本文引用:1]
[17] 张凤琦, 陈国兴, 郭开华, . 液态二氧化碳置换整形甲烷水合物过程特性[J]. 过程工程学报, 2018, 18(3): 639-645. DOI: 10.12034/j.issn.1009-606X.217304. [本文引用:1]
[18] 肖钢, 常乐. CO2减排技术[M]. 武汉: 武汉大学出版社, 2015: 19-20. [本文引用:1]
[19] DEUSNER C, BIGALKE N, KOSSEL E, et al. Methane production from gas hydrate deposits through injection of supercritical CO2[J]. Energies, 2012, 5(7): 2112-2140. DOI: 10.3390/en5072112. [本文引用:1]
[20] OHGAKI K, TAKANO K, SANGAWA H, et al. Methane exploitation by carbon dioxide from gas hydrates-phase equilibria for CO2-CH4 mixed hydrate system[J]. Journal of chemical engineering of Japan, 1996, 29(3): 478-483. DOI: 10.1252/jcej.29.478. [本文引用:2]
[21] 王佳贤, 刘昌岭, 宁伏龙, . CO2-CH4置换水合物开采方法及其强化技术研究进展[J]. 海洋地质与第四纪地质, 2023, 43(01): 190-204. DOI: 10.16562/j.cnki.0256-1492.2022032101. [本文引用:1]
[22] ZHAO J F, XU K, SONG Y C, et al. A review on research on replacement of CH4 in natural gas hydrates by use of CO2[J]. Energies, 2012, 5(2): 399-419. DOI: 10.3390/en5020399. [本文引用:1]
[23] 张旭辉, 鲁晓兵, 李鹏. 天然气水合物开采方法的研究综述[J]. 中国科学: 物理学、力学、天文学, 2019, 49(3): 034604. DOI: 10.1360/SSPMA2018-00212. [本文引用:1]
[24] COLLETT T T, AGENA W F, LEE M W, et al. Assessment of gas hydrate resources on the North Slope, Alaska, 2008[R/OL]. USGS, 2008.
https://www.researchgate.net/publication/285812156_Assessment_of_Gas_Hydrate_Resources_on_the_North_Slope_Alaska_2008. [本文引用:1]
[25] SCHICKS J M, STRAUCH B, HEESCHEN K U, et al. From microscale (400 μl) to macroscale (425 L): experimental investigations of the CO2/N2-CH4 exchange in gas hydrates simulating the Iġnik Sikumi field trial[J]. Journal of geophysical research: solid earth, 2018, 123(5): 3608-3620. DOI: 10.1029/2017JB015315. [本文引用:1]
[26] MCGRAIL B P, ZHU T, HUNTER R B, et al. A new method for enhanced production of gas hydrates with CO2[C]//Proceedings of the American association of petroleum geologists Hedberg conference. Vancouver: AAPG, 2004. [本文引用:1]
[27] PHALE H A, ZHU T, WHITE M D, et al. Simulation study on injection of CO2-microemulsion for methane recovery from gas-hydrate reservoirs[C]//Proceedings of the SPE gas technology symposium. Calgary: Society of Petroleum Engineers, 2006. DOI: 10.2118/100541-MS. [本文引用:2]
[28] 周锡堂. CO2乳状液置换开采天然气水合物实验模拟研究[D]. 北京: 中国科学院大学, 2008. [本文引用:1]
[29] ZHOU X T, FAN S S, LIANG D Q, et al. Replacement of methane from quartz sand -bearing hydrate with carbon dioxide-in-water emulsion[J]. Energy & fuels, 2008, 22(3): 1759-1764. DOI: 10.1021/ef700705y. [本文引用:2]
[30] YUAN Q, WANG X H, DANDEKAR A, et al. Replacement of methane from hydrates in porous sediments with CO2-in-water emulsions[J]. Industrial & engineering chemistry research, 2014, 53(31): 12476-12484. DOI: 10.1021/ie501009y. [本文引用:3]
[31] SUN Z F, LI N, JIA S, et al. A novel method to enhance methane hydrate exploitation efficiency via forming impermeable overlying CO2 hydrate cap[J]. Applied energy, 2019, 240: 842-850. DOI: 10.1016/j.apenergy.2019.02.022. [本文引用:1]
[32] CUI J L, SUN Z F, KAN J Y, et al. Study on the factors affecting the sealing performance and mechanical stability of CO2 hydrate cap during gas production from methane hydrate[J]. Journal of natural gas science and engineering, 2021, 93: 104050. DOI: 10.1016/j.jngse.2021.104050. [本文引用:1]
[33] 颜雨. CO2乳液稳定性评价和CO2乳液盖层改造降压开采水合物研究[D]. 北京: 中国石油大学(北京), 2019. [本文引用:1]
[34] ZHANG J C, LI L, WANG J, et al. Double inversion of emulsions induced by salt concentration[J]. Langmuir, 2012, 28(17): 6769-6775. DOI: 10.1021/la300695v. [本文引用:1]
[35] QIN H B, SUN X C, SUN C Y, et al. Applicability of nonionic surfactant alkyl polyglucoside in preparation of liquid CO2 emulsion[J]. Journal of CO2 utilization, 2018, 26: 503-510. DOI: 10.1016/j.jcou.2018.06.005. [本文引用:1]
[36] HOUSE K Z, SCHRAG D P, HARVEY C F, et al. Permanent carbon dioxide storage in deep-sea sediments[J]. Proceedings of the national academy of sciences of the United States of America, 2006, 103(33): 12291-12295. DOI: 10.1073/pnas.0605318103. [本文引用:1]
[37] UCHIDA T, IKEDA I Y, TAKEYA S, et al. Kinetics and stability of CH4-CO2 mixed gas hydrates during formation and long-term storage[J]. ChemPhysChem, 2005, 6(4): 646-654. DOI: 10.1002/cphc.200400364. [本文引用:1]
[38] 王敏, 徐刚, 蔡晶, . “CH4-CO2”置换法开采天然气水合物[J]. 新能源进展, 2021, 9(1): 62-68. DOI: 10.3969/j.issn.2095-560X.2021.01.009. [本文引用:1]
[39] OTA M, ABE Y, WATANABE M, et al. Methane recovery from methane hydrate using pressurized CO2[J]. Fluid phase equilibria, 2005, 228-229: 553-559. DOI: 10.1016/j.fluid.2004.10.002. [本文引用:1]
[40] XU C G, CAI J, YU Y S, et al. Research on micro-mechanism and efficiency of CH4 exploitation via CH4-CO2 replacement from natural gas hydrates[J]. Fuel, 2018, 216: 255-265. DOI: 10.1016/j.fuel.2017.12.022. [本文引用:1]
[41] FENG J C, WANG Y, LI X S. et al. Production performance of gas hydrate accumulation at the GMGS2-Site 16 of the Pearl River Mouth Basin in the South China Sea[J]. Journal of natural gas science and engineering, 2015, 27: 306-320. DOI: 10.1016/j.jngse.2015.08.071. [本文引用:1]
[42] ZANDER T, CHOI JC, VANNESTE M, et al. Potential impacts of gas hydrate exploitation on slope stability in the Danube deep-sea fan, Black Sea[J]. Marine and petroleum geology, 2018, 92: 1056-1068. DOI: 10.1016/j.marpetgeo.2017.08.010. [本文引用:1]
[43] LAU H C, WANG J J, ZHANG M. A new classification of gas-hydrate deposits and its implications for field-development potential[J]. SPE Journal, 2021, 26(6): 3643-3667. DOI: 10.2118/205478-PA. [本文引用:1]