作者简介:黎伦(1997-),男,硕士研究生,主要从事电化学储能材料与器件研究。
张海燕(1957-),女,博士,教授,博士生导师,主要从事电化学储能材料与器件研究。
层状过渡金属氧化物由于其较高的理论比容量和较低的经济成本,被视为一种具有良好应用前景的钠离子电池正极材料。采用溶胶-凝胶法和热处理的方式,制备Ca/Cu共掺杂的铁锰基层状氧化物(O3-Na0.9Ca0.05Fe0.45Mn0.45Cu0.1O2)。采用X射线衍射仪(XRD)、场发射扫描电子显微镜(SEM)、透射电子显微镜(TEM)、X射线光电子能谱(XPS)等对该O3型铁锰基层状氧化物正极材料进行表征分析。结果表明,在32 mA/g电流密度下该材料具有205.2 mA∙h/g的高比容量,循环50圈之后仍具有67.64%的容量保持率,在160 mA/g下循环100圈后依然具有81.4 mA∙h/g的放电比容量。由于Ca的掺入,引起Na+空位的增加,并且Cu的掺入提高了Mn的价态,从而提高了Na+的扩散速率,抑制了Mn3+的Jahn-Teller效应,缓解了晶格应力,有效提高了材料的结构稳定性和电化学性能。
Layered transition metal oxides were considered a promising cathode material for sodium ion batteries due to their high theoretical capacity and low economic cost. In this work, Ca/Cu co-doped Fe-Mn base layered oxides (O3-Na0.9Ca0.05Fe0.45Mn0.45Cu0.1O2) were prepared by sol-gel method and heat treatment. X-ray diffraction (XRD), scanning electron microscope (SEM), transmission electron microscope (TEM), and X-ray photoelectron spectroscopy (XPS) were adopted to characterize the performance of the O3-type Fe-Mn base layered oxide cathode material. The results showed that the specific capacity of the material was as high as 205.2 mA∙h/g at 32 mA/g, and the capacity retention rate of 67.64% after 50 cycles. It also demonstrated a discharge specific capacity of 81.4 mA∙h/g at 160 mA/g after 100 cycles. The doping of Ca caused the increase of Na+ vacancies, and the doping of Cu raised the valence state of Mn, which increased the diffusion rate of Na+, suppressed the Jahn-Teller effect of Mn3+, and relieved the lattice stress, so that the structural stability and electrochemical properties of the material were effectively improved.
近几十年来, 锂离子电池在汽车和电子设备等诸多领域得到了广泛的应用[1, 2, 3, 4, 5, 6]。然而随着锂资源的不断减少, 科学家们迫切希望找到其替代品[7, 8, 9]。钠元素在地球中含量高于锂, 并且其成本低廉, 对环境友好。钠离子电池被认为有望替代锂离子电池, 满足人们的应用需求[10, 11, 12, 13]。因此, 研究钠离子电池正极材料至关重要。
在普鲁士蓝和聚阴离子化合物等多种钠离子电池正极材料中, 层状过渡金属氧化物(NaxTMO2, TM为过渡金属)因其高理论比容量、制备简单和成分多样而被广泛研究[14, 15, 16]。根据其晶格结构中Na+离子的位置, 层状过渡金属氧化物可大致分为P2、O2、P3和O3型[17, 18, 19]。其中O3型层状正极材料具有较高的理论比容量, 具有典型层状结构的O3型NaFeO2因化学结构的不稳定性, 使其实际可逆容量不到理论容量的一半[20, 21, 22]。层状铁锰基氧化物O3-NaFe0.5Mn0.5O2用作钠离子电池正极时可逆比容量为151.3 mA∙ h/g, 但其在反应过程中容易产生不可逆相变, 因此容量衰减迅速[23, 24]。这些正极材料容量的衰减是因电极反应中存在着复杂的不可逆相变和化学不稳定性所致。因此, 元素掺杂常被用于提高材料中Na+的固态扩散动力学和循环稳定性。
本文采用溶胶-凝胶法制备Ca/Cu共掺杂的O3-Na0.9Ca0.05Fe0.45Mn0.45Cu0.1O2正极材料。通过Ca元素的掺杂, 引起Na+空位的增加, 并且由于Cu的掺入提升Mn的价态, 因此提高Na+扩散速率, 抑制Mn3+的Jahn-Teller效应和材料反应过程中复杂的不可逆相变, 从而提高电化学性能和结构稳定性, 为正极材料的改性研究提供借鉴。
O3-Na0.9Ca0.05Fe0.45Mn0.45Cu0.1O2的合成采用溶胶-凝胶法。称取2 g聚乙烯醇2488(上海麦克林生化科技有限公司, 分析纯)置于烧杯中并加入35 mL去离子水, 将烧杯放在70℃的恒温水浴中, 搅拌使聚乙烯醇溶解, 然后加入0.5 mL浓硝酸(天津大茂化学试剂厂, 分析纯, 质量分数为68%)使溶液酸化。随后, 按化学计量比依次加入CH3COONa(广州化学试剂厂, 分析纯)(过量4%)、(CH3COO)2Ca∙ H2O(上海九鼎化学有限公司, 99.9%)、(CH3COO)2Mn(广州化学试剂厂, 分析纯)、Fe(NO3)3∙ 9H2O(北京伊诺凯科技有限公司, 99.9%)和 (CH3COO)2Cu(上海麦克林科技有限公司, 分析纯)。恒温水浴搅拌2 h后, 滴入0.4 g戊二醛水溶液(北京伊诺凯科技有限公司, 50%), 搅拌至形成凝胶。最后将形成的凝胶冷冻干燥, 干燥完成后将样品置于管式炉中, 以5℃/min的升温速率加热至400℃, 在400℃空气中焙烧4 h, 然后继续加热到900℃焙烧12 h, 以获得铁锰铜酸钙钠(O3-Na0.9Ca0.05Fe0.45Mn0.45Cu0.1O2, O3-NFMCC)。采用上述方法分别制备铁锰酸钠(O3-NaFe0.5Mn0.5O2, O3-NFM)、铁锰酸钙钠(O3-Na0.9Ca0.05Fe0.5Mn0.5O2, O3-NFMCa)和铁锰铜酸钠(O3-NaFe0.45Mn0.45Cu0.1O2, O3-NFMCu)。
采用X射线衍射仪(X-ray diffractometer, XRD)(D/max-UltimaIV, 日本理学)对样品的晶体结构进行分析; 采用场发射扫描电子显微镜(scanning electron microscope, SEM)(SU8010, 日本日立)、透射电子显微镜电镜(transmission electron microscope, TEM)(JEM-2100F, 日本电子株式会社)和X射线能量色散光谱仪(energy dispersive X-ray spectroscopy, EDS)(EA6000VX, 日本日立)分析样品形貌和元素分布。利用X射线光电子能谱(X-ray photoelectron spectroscopy, XPS)(Escalab 250Xi, 美国赛默飞)分析元素的价态。
在Ar气氛的手套箱(MBRAUN UNIlab Plus, 德国布劳恩)中装配CR2032硬币半电池, 以测试样品的电化学性能。按照质量比7∶ 2∶ 1将活性材料、炭黑和聚偏氟乙烯与适量N-甲基-2-吡啶酮混合制成浆料, 涂覆在铝箔上, 然后在80℃的真空烤箱中干燥12 h, 得到样品电极。使用金属钠作为对电极。电解液(NC-153, 苏州多多化学科技有限公司)主要成分为NaClO4、碳酸丙烯酯和氟代碳酸乙烯酯。采用玻璃纤维(GF/D, 英国沃特曼公司)作为电池隔膜。在电化学工作站(CHI660E, 上海辰华仪器有限公司)上测试循环伏安(cyclic voltammetry, CV)曲线。采用LAND电池测试系统(CT3001A, 武汉市蓝电电子股份有限公司)在1.5 ~ 4.3 V电压范围内对样品的电化学性能进行测试。
图1a是O3-NFM、O3-NFMCa、O3-NFMCu和O3-NFMCC的XRD图。四组材料的特征峰位置一致, 都与R3m空间群的O3相(PDF#53-0349)表现出相似的衍射峰。说明Ca和Cu元素的掺杂并未改变材料的晶相结构。图1b为O3-NFMCa和O3-NFMCC中的Mn元素的XPS图谱。分析图1c中Mn 2p谱图可知O3-NFM中Mn的价态为 +3价, 图1d中在642.1 eV和653.4 eV位置的衍射峰对应于Mn3+, 在643.2 eV和654.6 eV位置的衍射峰[25]对应于Mn4+, 这说明掺杂Cu之后部分Mn3+变为Mn4+, 可以更好地抑制Mn3+的Jahn-Teller效应, 有利于材料电化学性能的提升。
采用SEM和TEM对样品的组成、粒径和形貌进行了表征分析, 如图2所示。图2a ~ 图2d分别为O3-NFM、O3-NFMCa、O3-NFMCu和O3-NFMCC的SEM图, 从图中可以看到四种材料都是粒径在1 ~ 5 μ m的不规则颗粒, 但是O3-NFM出现烧结现象, 形成了二次粒子块状材料。图2e是O3-NFMCC的高分辨透射电子显微镜图, 图中区域可以观察到晶格间距为0.22 nm的O3相(104)晶面, 这也证实了该材料是O3型层状氧化物材料。图2f是O3-NFMCC的TEM图, 图2g ~ 图2l是其EDS图, 分别为样品中各元素的分布情况, 说明Na、Ca、Fe、Mn、Cu和O元素在样品中分布均匀。
图3展示了O3-NFM、O3-NFMCa、O3-NFMCu和O3-NFMCC的电化学性能。图3a是四种材料在0.1 mV/s扫描速度下的循环伏安曲线。四组材料均表现出了明显的氧化还原峰, 分别对应高电位的Fe3+/Fe4+和较低电位的Mn3+/Mn4+, 在O3-NFM中电压平台位置分别为4.01V/3.19 V和2.96V/2.21 V。掺杂后的材料中, Mn3+的氧化峰电位明显下降, 表明掺杂之后材料中的Mn3+更容易被氧化成Mn4+, 可有效抑制Mn3+的Jahn-Teller效应。在Ca和Cu共掺杂时, Fe4+的还原峰电位相对明显下降, 降低了Fe4+的还原难度, 这些因素可以在一定程度上提高材料的电化学性能。图3b为四种材料在32 mA/g下的循环性能图, O3-NFM、O3-NFMCa、O3-NFMCu和O3-NFMCC的初始放电比容量分别为224.6 mA∙ h/g、216.9 mA∙ h/g、214.1 mA∙ h/g和205.2 mA∙ h/g。经过50圈的循环之后, 其放电比容量分别为90.8 mA∙ h/g、112.4 mA∙ h/g、122.5 mA∙ h/g和138.8 mA∙ h/g, 容量保持率分别为40.43%、51.82%、57.22%和67.64%。图3c是四种材料在160 mA/g下的循环性能图, O3-NFM、O3-NFMCa、O3-NFMCu和O3-NFMCC四种材料的放电比容量分别为156.6 mA∙ h/g、149 mA∙ h/g、142.9 mA∙ h/g和132.2 mA∙ h/g, 循环100圈之后, 放电比容量分别为31.3 mA∙ h/g、60.5 mA∙ h/g、64.8 mA∙ h/g和81.4 mA∙ h/g, 容量保持率分别为19.98%、40.60%、45.35%和61.57%。表明掺杂之后材料的循环稳定性有了较大的提升, 特别是Ca/Cu共掺杂时, 具有最高的容量保持率, 这是共掺杂双重作用的结果。图3d是四种材料的倍率性能曲线, 可以看出掺杂改性后的材料具有更好的倍率性能。其中O3-NFMCC比其他三种材料的倍率性能更好, 其在16 mA∙ h/g、32 mA∙ h/g、80 mA∙ h/g、160 mA∙ h/g和320 mA/g下的放电比容量分别为216.5 mA∙ h/g、183.9 mA∙ h/g、119.4 mA∙ h/g、89.1 mA∙ h/g和59.7 mA∙ h/g, 且当倍率再次为16 mA/g时, 其依然有着197.4 mA∙ h/g的高比容量。通过这些电化学性能图可以发现, Ca/Cu元素掺杂可以增强O3-NFM材料的稳定性, 从而提高材料的电化学性能, 也证实了Ca/Cu共掺杂比单一元素掺杂具有更好的电化学性能。
为探究Ca/Cu共掺杂对O3-NFM的动力学影响, 采用恒电流间歇滴定技术(galvanostatic intermittent titration technique, GITT), 将电池在16 mA/g下充放电10 min, 然后静置2 h。研究了Na+在材料O3-NFM和O3-NFMCC的扩散系数。图4a和图4c为O3-NFM和O3-NFMCC充放电过程中的GITT图像。Na+扩散速率D可由下式计算[26]:
$D\text{=}\frac{4}{\text{ }\!\!\pi\!\!\text{ }\tau }{{\left( \frac{{{m}_{\text{B}}}{{V}_{\text{m}}}}{{{M}_{\text{B}}}S} \right)}^{2}}{{\left( \frac{\Delta {{E}_{\text{s}}}}{\Delta {{E}_{\text{t}}}} \right)}^{2}} $ (1)
式中:τ 为静置时间, s; mB为正极材料的质量, g; MB为正极材料的摩尔质量, g/mol; Vm是活性物质的摩尔体积, cm3/mol; Δ Es为充电/放电过程电池电压的变化, V; S为电解液与电极之间的有效接触面积, cm2; Δ Et为电池静置至平衡状态时的电压变化, V。图4b为O3-NFM在充放电时的D值变化图, 该材料在充放电过程中D的平均值分别为1.97× 10-9 cm2/s、2.26× 10-9 cm2/s。O3-NFMCC在充放电时的D变化如图4d, 该材料在充放电过程中D的平均值分别为2.81× 10-9 cm2/s和2.78× 10-9cm2/s。表明O3-NFMCC在充放电过程中D的平均值要高于O3-NFM, 说明Ca和Cu共掺杂可以提升材料中Na+的扩散速率, 这是由于Ca的掺入会取代Na位点, 可以增大层状结构中碱金属层的距离[27], 这有利于Na+的扩散。此外, 材料中的FeO6八面体在Fe被氧化时容易发生畸变, 会使得铁离子迁移至Na层, 这会阻碍Na+的扩散; Cu的掺入可以调节基体结构, 提高材料的结构稳定性, 从而抑制铁离子迁移时产生的不可逆相变[24]。较高的Na+扩散速率有利于提高材料的电化学性能。
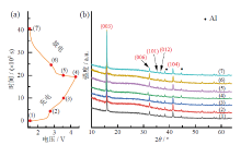
为探究电极材料在循环过程中的结构演变, 在不同充放电状态下以16 mA/g的电流密度对O3-NFMCC进行了非原位XRD测试。图5a所示为非原位XRD所选截止电压。图5b是O3-NFMCC在不同电位下的非原位XRD图谱。在充电过程中(003)、(006)和(102)晶面逐渐向低角度偏移, 层间距逐渐增大, 这是由于Na+的脱出使相邻TMO2层的斥力提高所导致的[28]; 在放电过程中, 这些晶面逐渐向高角度偏移, 经过一次充放电后几乎回到了初始位置, 表明该材料的结构具有较高可逆性。此外, (101)和(012)晶面衍射峰随电压的增加向高角度偏移, 这与过渡金属元素的氧化相关; 然后随着电压的下降可逆地回到原来的位置。由图可知, 在Na+脱出/嵌入过程中, 材料的物相结构几乎未发生变化, 也未发生复杂的不可逆相变, 该结果说明O3-NFMCC电极具有高度可逆的晶体结构。
对O3-NaFe0.5Mn0.5O2进行Ca/Cu元素掺杂改性, 获得了O3-Na0.9Ca0.05Fe0.45Mn0.45Cu0.1O2电极材料。通过Ca/Cu掺杂, 有效提高了材料的电化学性能。O3-NFMCC在32 mA/g电流密度下具有205.2 mA∙ h/g的高比容量, 并且在160 mA/g下循环100圈后容量保持率为61.57%, 远高于O3-NFM的19.98%。这是由于Ca和Cu元素的掺杂增加了Na+空位, 提升了Mn的价态, 因此提高了Na+扩散速率, 抑制了Mn3+的Jahn-Teller效应和不可逆相变, 缓解了晶格应力, 有效提高了材料的结构稳定性, 并使Na+可以在电极材料中高度可逆地脱出/嵌入, 进而提升了电化学性能。可见, O3-Na0.9Ca0.05Fe0.45Mn0.45Cu0.1O2用作钠离子电池正极材料时, 将具有较好的应用前景。
| [1] |
|
| [2] |
|
| [3] |
|
| [4] |
|
| [5] |
|
| [6] |
|
| [7] |
|
| [8] |
|
| [9] |
|
| [10] |
|
| [11] |
|
| [12] |
|
| [13] |
|
| [14] |
|
| [15] |
|
| [16] |
|
| [17] |
|
| [18] |
|
| [19] |
|
| [20] |
|
| [21] |
|
| [22] |
|
| [23] |
|
| [24] |
|
| [25] |
|
| [26] |
|
| [27] |
|
| [28] |
|

