玉米秸秆和海藻共热解特性研究
曹乾坤, 王茜, 王睿
山东建筑大学 热能工程学院,济南 250101
†通信作者:王 茜,E-mail:sherrywang1010@163.com

作者简介:曹乾坤(1997-),男,硕士研究生,主要从事生物质能清洁高效利用研究。王 茜(1989-),女,博士,副教授,主要从事生物质能清洁高效利用研究。

摘要

为解决陆地生物质资源短缺,开发水生生物质有效替代部分陆地生物质迫在眉睫。通过热重法研究玉米秸秆和海藻共同热解的特性,重点考察掺混比例和升温速率的影响,并对混合样品的热力学特性和动力学特性进行分析。结果显示,热解分为干燥、挥发分析出及焦炭热解三个阶段。掺配后的混合样品最终失重率与最大失重速率均小于纯秸秆与纯海藻。随着海藻掺配比例的增加,可燃性指数 Ca先增大后减小,燃尽特性指数 K递减,热解特性指数 S先增大后减小。不同升温速率工况下,在热解区间(200 ~ 600β℃),随着升温速率的升高,样品的热重曲线右移,失重率越来越大,最大失重速率先减小后增大,30β℃/min时最小。 Ca在递减, K S呈增加趋势。动力学研究结果表明,不同掺配比例工况下,混合样品存在明显的协同作用,降低了共热解所需活化能。在不同升温速率工况下,升温速率越大,所需要的活化能越小,样品越容易发生热解。

关键词: 玉米秸秆; 升温速率; 掺配比例; 活化能
中图分类号:TK6 文献标识码:A 文章编号:2095-560X(2024)01-0098-08
Co-Pyrolysis Characteristics of Corn Straw and Seaweed
CAO Qiankun, WANG Qian, WANG Rui
School of Thermal Engineering, Shandong Jianzhu University, Jinan 250101, China
Abstract

To solve the shortage of terrestrial biomass resources, the development of aquatic biomass to effectively replace part of terrestrial biomass is imminent. In this paper, the characteristics of co-pyrolysis of corn straw and seaweed were investigated by thermogravimetric method, focusing on the effects of mixing ratio and heating rate, and the thermodynamic and kinetic properties of the mixed samples were analyzed. The results showed that the pyrolysis was divided into three stages: drying, volatile analysis, and coke pyrolysis. After blending, the final weight loss rate and the maximum weight loss rate of the blended samples were smaller than those when pure straw and pure seaweed reacted alone. With the increase in the proportion of seaweed blending, the flammability index Ca increased and then decreased, the ignition characteristic index K decreased, and the pyrolysis characteristic index S increased and then decreased. Under different heating rate conditions, in the pyrolysis interval (200-600 °C), the thermogravimetric curve of the samples shifted to the right with the increase of heating rate, and the weight loss rate was getting larger and larger. The maximal weight loss rate first decreased and then increased, and it was the smallest at 30 °C/min. Ca decreases, K and S are increased. The kinetic study showed an obvious synergistic effect in the mixed samples under different blending ratios, which reduced the activation energy required for co-pyrolysis. Under different heating rates, the larger the heating rate, the smaller the activation energy required, and the easier the pyrolysis of the samples.

Key words: corn straw; heating rate; blending ratio; activation energy
0 引言

随着社会经济和科技的快速发展, 人们对化石燃料的需求剧增。目前, 我国能源结构仍主要以煤、石油、天然气为主, 化石燃料的燃烧排放物使空气质量日益恶化并造成温室效应问题, 寻找可再生能源迫在眉睫。我国是农业大国, 秸秆类生物质资源丰富, 每年大约能产生各种类秸秆6.5亿吨[1], 露天焚烧和室内燃料消耗是秸秆类燃烧的主要方式。生物质虽具有可再生、CO2近零排放等优点, 但生物质还具有分布散、能量密度低、燃烧过程中颗粒物排放高、受热面积灰、结渣等缺点[2]。因此, 研究改善生物质品质对发展可再生能源具有战略意义。

截至目前越来越多的学者用木材类、秸秆类、煤类等作为实验样品进行热解研究, 并取得了一定的成果。杨海平等[3]对木材类生物质进行热重实验, 主要研究了不同升温速率下木材类生物质热解特性的变化, 借助热重分析仪获得实验数据, 并分析讨论了动力学参数, 发现随着升温速率增大, 生物质热解温度逐渐升高, 热解速率逐渐减小。WANG等[4]利用热重分析仪研究污泥和稻壳不同掺配比例的混合样品的共热解特性、动力学特性, 发现两者之间表现出协同与抑制作用, 当污泥掺混比例为70%时平均活化能最小。金会心等[5]通过改变褐煤和生物质的掺混比例, 探究混合样品之间的协同作用, 动力学分析发现混合样品的活化能E值均小于两者单独热解, 说明两者共热解过程存在协同作用。

对于世界人口大国, 人们所必需的食物以及其他生活用品等需求大, 陆地生物质资源有限。我国海岸线排名世界前列, 总长度为3.2万千米, 海洋资源丰富。海洋中丰富的生物质资源可替代陆地生物质, 解决资源短缺问题。其中海藻是海洋生物资源的一大家族, 数量多、易获取, 并可以人工栽培。我国每年栽培海藻产量居世界第一, 年产量为122万余吨(干重), 占海水养殖总产量的11.5%[6]。海藻的有机和无机物质主要元素为碳、氢、氧和氮, 可以提供人类需要的生物质能源[7, 8]。但是海藻热解产生的气体产物中有很多含氮组分, 会严重影响环境。因此对海藻的热化学转化利用技术的开发势在必行, 这不仅可为海藻生产和加工开辟新的途径, 而且可缓解陆地生物质资源供不应求的态势[9, 10, 11], 因此开发海藻作为新生物质能源具有战略意义。

综上, 本文选择玉米秸秆和水生海藻为研究对象, 采用热重实验探究掺混比例和升温速率对两者热解特性的影响, 并通过实验数据对其动力学进行分析, 以期为秸秆类和海藻类生物质资源开发提供有效理论依据。

1 研究原料与方法
1.1 实验样品

选择产自江苏连云港的玉米秸秆和产自山东青岛的海藻。将玉米秸秆在粉碎机中进行快速粉碎筛分, 筛分出粒径100目的秸秆粉末置于烘干箱, 在105β ℃的环境下干燥24 h。两种生物质样品的工业分析和元素分析见表1。玉米秸秆和海藻的灰成分分析采用X射线荧光光谱仪(X-ray fluorescence spectrometer, XRF), 结果见表2。将玉米秸秆粉和海藻粉进行机械均匀混合, 并设置5种掺配比例(100%玉米秸秆、80%玉米秸秆 + 20%海藻、60%玉米秸秆 + 40%海藻、40%玉米秸秆 + 60%海藻、100%海藻)。

表1 样品的工业分析和元素分析 Table 1 Proximate analysis and ultimate analysis of the samples
表2 样品的XRF分析结果 Table 2 XRF analysis results of the samples
1.2 实验系统和方法

热重实验选用北京恒久HCT-1热重分析仪。实验样品质量为 (10 ± 0.1) mg, 置于氧化铝坩埚中, 实验系统的反应气体和保护气体均为N2, 流量分别为40 mL/min和50 mL/min。热解温度范围为60 ~ 900β ℃, 升温速率分别20、30、40β ℃/min。记录随着温度变化的样品失重率, 通过热分析软件对热失重(thermal gravity, TG)曲线进行一阶微分即可获得热失重速率(differential thermal gravity, DTG)曲线。

2 结果与分析
2.1 热解热力学特性分析

2.1.1 掺配比例对热解特性的影响

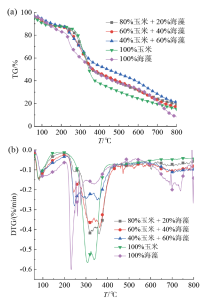
当升温速率为30β ℃/min时, 不同掺配比例下玉米秸秆和海藻混合样品热解的TG、DTG曲线如图1所示。图1(a)中可见, 玉米秸秆和海藻单独热解和混合热解失重曲线均可分为干燥、挥发分析出及焦炭热解三个阶段。图中可见, 不同掺配比例下, 第一阶段TG曲线差别不大。在挥发分析出阶段, 各混合样品的TG曲线介于玉米秸秆和海藻单独热解之间, 即失重率介于样品单独热解之间, 原因是海藻相比较于玉米秸秆含水量大, 混合样品的含水量介于100%玉米秸秆和100%海藻之间。由曲线看出随着海藻掺配比例的增加, 混合样品的失重率并不是单调递增。比例为40%玉米秸秆 + 60%海藻时失重率最小, 60%玉米秸秆 + 40%海藻失重率最大。第三阶段, 混合样品的TG曲线均在原样品单独热解之上, 失重率均小于原样品单独热解。这是由于混合样品具有更加丰富的纤维素、木质素和脂类, 其随温度的升高热解炭化并附着于样品表面, 从而使质量损失较小, 失重率降低。

图1 玉米秸秆和海藻不同掺配比例热解失重特性曲线:(a)TG曲线; (b)DTG曲线Fig. 1 Weight loss curves during pyrolysis of corn straw and seaweed with different blending ratios: (a) TG curves; (b) DTG curves

由图1(b)DTG曲线可以看出, 在干燥失水阶段, 混合样品的热解速率在玉米秸秆和海藻单独热解之间, 主要原因是海藻是水生植物, 含量水大, 海藻比例越大失水越明显, 并且随着海藻掺配比例的增大, DTG曲线向低温区移动, 热解速率越来越大, 说明两者混合热解发生协同效应。挥发分析出阶段, 相比较于玉米秸秆、海藻单独热解, 混合样品共热解时的最大失重速率均偏低。比例为80%玉米秸秆 + 20%海藻时最大失重速率最大, 40%玉米秸秆 + 60%海藻最大失重速率最小, 因此增大混合样品中玉米秸秆掺混比例对最大失重速率的提高有促进作用。这表明玉米秸秆和海藻的共热解过程存在复杂的热解交互作用, 并非简单的线性叠加[12]

为进一步分析混合样品的热解特性, 选取代表性热解性能指数来对TG和DTG曲线进行分析。可燃性指数Ca表示样品TG曲线中最大失重速率与着火温度平方的比值。样品可燃性的强弱与最大失重速率和着火温度两个关键因素有关, 样品可燃性的强弱与最大失重速率成正比, 与着火温度成反比[13]Ca公式如式(1)所示。

$Ca=\frac{{{v}_{\text{DTG, }}}_{\max }}{{{\theta }_{\text{i}}}^{2}}$ (1)

式中:vDTG, max为最大燃烧速率, %/min; θ i为着火温度, K。

采用DTG突点法确定θ i[14]:即样品在着火前, 反应速度较低, 失重比较缓慢, 但是当开始燃烧后, 达到着火温度时, 反应速率迅速增加, 此时在DTG曲线上存在一个突变点。定义DTG曲线上失重率达到0.1 mg/min时的点为着火点或两点间失重率差大于0.1 mg/min时的点为着火点。

混合样品的燃尽性能指数K主要与最大热解速率、着火温度、最大热解峰温、DTG峰宽温差和后半峰宽温差等因素有关, K值越大, 代表燃尽性能越好。K的计算公式如式(2)所示。

$K=\frac{{{v}_{\text{DTG, }}}_{\max }}{\left( {{\theta }_{\text{i}}}\times {{\theta }_{\max }}\times \frac{\Delta {{\theta }_{1/2}}}{\Delta \theta } \right)}$ (2)

式中:θ max为最大热解峰温, K; △ θ 为DTG曲线峰宽温差, K; Δ θ 1/2为DTG曲线后半峰温差, K。

混合样品的热解性能用热解特性指数S表示[15], S值越大, 样品的热解性能越好。S的计算公式如式(3)所示。

$S=\frac{{{v}_{\text{DTG, }}}_{\text{mean}}}{\theta _{\text{i}}^{\text{2}}\times {{\theta }_{\text{h}}}}$ (3)

式中:vDTG, mean为平均热解速率, %/min; θ h为熄火温度, K。

混合样品在不同掺配比例下的热力学特性指数的计算值见表3

表3 不同掺配比例样品热解热力学特性指数 Table 3 Pyrolytic thermodynamic properties index of the samples with different blending ratios

表3可得, 混合样品的CaK、最大燃烧速率均小于玉米秸秆和海藻单独燃烧, 且随着海藻掺配比例的增加, Ca先增大后减小, 在60%玉米秸秆 + 40%海藻时最大, 着火性能最强。随着海藻掺配比例的增加, K呈递减趋势, 说明海藻掺配比例越大燃尽性能越差, 这与海藻中含有丰富的有机和无机物质有关。由表可以看出100%海藻的S值最大, 热解性能最好。在同一升温速率下, 玉米秸秆和海藻单独热解时的S值均大于其混合热解。说明混合样品的热解性能降低, 原因可能是混合样品含有更加丰富的纤维素、木质素、氧化物等, 导致产生更多的焦炭, 阻碍热解的进行, 使混合样品的热解性能降低。并且随着海藻掺配比例的增加, S值先增大后减小, 由此可以得到海藻的掺配比例并不是越大越好, 而是存在一个最佳掺配比例, 当60%玉米秸秆 + 40%海藻时S值最大, 热解性能最佳。

2.1.2 升温速率对热解曲线影响分析

升温速率也是影响燃料热解特性的主要因素之一, 有必要考察其对玉米秸秆和海藻混合热解的影响。考虑到60%玉米秸秆 + 40%海藻时S值最大, 热解性能最好。因此选择该混合样品进行分析。在升温速率为20、30、40β ℃/min工况下, 60%玉米秸秆米 + 40% 海藻热解的TG及DTG曲线如图2所示。

图2 60%玉米秸秆米 + 40%海藻不同升温速率热解失重特性曲线:(a)TG曲线; (b)DTG曲线Fig. 2 Weight loss characteristic curves of 60% corn straw + 40% seaweed pyrolysis with different heating rates: (a) TG curves; (b) DTG curves

从图2可以直观看出混合样品的TG和DTG曲线在不同升温速率下的失重变化规律基本一致, 但仍有不同。从TG曲线可以看出, 在不同升温速率下, 热解也分为干燥、挥发分析出及焦炭热解三个阶段, 从图2(a)可以看出, 三种升温速率下, 在200 ~ 600β ℃, 样品失重最为明显, 在此温度区间, 随着升温速率的升高, TG曲线右移, 失重率越来越大。其原因是随着升温速率递增, 样品的热解反应逐渐剧烈, 焦炭表面获得更多热量和氧气, 形成了更好的燃烧条件, 促使焦炭燃烧更加完全[16]。由图2(b)的DTG曲线明显可以看出, 不同升温速率下的DTG曲线有一个共同点, 即都有一个最大失重峰和一个小肩峰, 这可能是由于纤维素和蛋白质等的热解温度不同造成的[17]

混合样品不同升温速率的热解热力学特性指数见表4

表4 不同升温速率的样品热解热力学特性指数 Table 4 Pyrolytic thermodynamic properties index of the samples at different heating rates

表4可知, 不同升温速率下的最大失重速率和其对应的温度, 随着升温速率的增加, 最大失重速率先减小后增大, 30β ℃/min时最小。峰值对应的温度随着升温速率的增大而升高, 表明样品热解过程中峰值点温度逐渐向右漂移。混合样品的Ca呈递减趋势, 表明此混合样品高升温速率下着火温度略强于低升温速率, 这也与上述TG和DTG曲线表述结果一致。随升温速率增大, K呈增加趋势, 表明此混合样品在高升温速率下的燃尽性能优于低升温速率。随着升温速率的增大, 最大燃烧速率虽然相差不大, 但是平均热解速率却大幅度升高, 这对后期的热解促进作用更加明显。在焦炭燃烧阶段, 随着升温速率的递增, 样品表面发生着火反应提前, 并在更低的温度下完成该阶段。这也与表4中随着升温速率的增大混合样品的S呈递增的规律一致。由此得出在高升温速率下混合样品的热解性能优于低升温速率。

2.2 热解动力学分析

玉米秸秆和海藻的共热解是一个较为复杂的过程, 包括协同反应、抗拒作用, 通过对其进行动力学分析以探究反应过程, 预测反应速率及反应的难易程度[18]。在众多动力学参数的计算方法中Coats-Redfern法应用比较广泛[19]

热解反应速率如下式所示:

$\frac{\text{d}\alpha }{\text{d}t}=k(T)f(\alpha )$ (4)

式中:α 为样品转化率, $\alpha =\frac{({{m}_{0}}-{{m}_{t}})}{({{m}_{0}}-{{m}_{\varpi }})}$; ${{m}_{0}}$为样品初始质量; ${{m}_{t}}$为t时刻样品质量; ${{m}_{\varpi }}$为反应完成时样品质量; $f(\alpha )$为反应机理函数; $k(T)$为阿伦尼乌斯化学反应速率常数。

$k\left( T \right)=A\exp \left( -\frac{E}{RT} \right)$ (5)

$f\left( \alpha \right)={{\left( 1-\alpha \right)}^{n}}$ (6)

式中:A为反应指前因子, min-1; E为反应活化能, kJ/mol; 理想气体常数R = 8.3145 kJ/(mol∙ K); n为反应级数。

设升温速率$\beta =\frac{\text{d}T}{\text{d}t}$, 以上方程则可化为:

$\frac{\text{d}\alpha }{{{\left( 1-\alpha \right)}^{n}}}=\frac{A}{\beta }\exp \left( -\frac{E}{R} \right)\text{d}t$ (7)

Coats-Redfern方法中对阿伦尼乌斯方程进行数学方法整理, 当n = 1时:

$\text{ln}\left[ \frac{-\ln \left( 1-\alpha \right)}{{{T}^{2}}} \right]=\ln \left[ \frac{AR}{\beta E}\left( 1-\frac{2RT}{E} \right) \right]-\frac{E}{RT}$ (8)

n ≠ 1时:

$\text{ln}\left[ \frac{1-{{\left( 1-\alpha \right)}^{1-n}}}{{{T}^{2}}\left( 1-n \right)} \right]=\ln \left[ \frac{AR}{\beta E}\left( 1-\frac{2RT}{E} \right) \right]-\frac{E}{RT}$ (9)

对于大部分反应而言, $\frac{2RT}{E}$的值非常小(即$\frac{2RT}{E}$< < 1), 因此上述两个方程可近似如下, 当n = 1时:

$\text{ln}\left[ \frac{-\ln \left( 1-\alpha \right)}{{{T}^{2}}} \right]=\ln \frac{AR}{\beta E}-\frac{E}{RT}$ (10)

n$\ne $1时:

$\text{ln}\left[ \frac{1-{{\left( 1-\alpha \right)}^{1-n}}}{{{T}^{2}}\left( 1-n \right)} \right]=\ln \frac{AR}{\beta E}-\frac{E}{RT}$ (11)

目前针对生物质的热解动力学研究已经成熟, 并且各种分析模型已经逐渐形成, 其中一级反应模型被广泛认可[20]。因此, 本研究中海藻与玉米秸秆的热解级数n选1。$\text{ln}\left[ \frac{-\ln \left( 1-\alpha \right)}{{{T}^{2}}} \right]$对1/T可作一条直线, 其斜率为$-\frac{E}{R}$, 截距为$\text{ln}\frac{AR}{\beta E}$, 因此EA可以分别由直线的斜率和截距确定。通过将$\text{ln}\left[ \frac{-\ln \left( 1-\alpha \right)}{{{T}^{2}}} \right]$-1/T在主要热解区间内进行线性拟合, 得到的线性关系越接近1, 则选取的机理函数越接近实际情况[21]

2.2.1 不同掺配比例的燃料热解动力学分析

图3是混合样品在不同掺配比例的拟合直线。n = 1时不同掺配比例的热解动力学计算结果见表5, 实验的动力学参数具有的相关系数r2几乎全部在0.93 ~ 1之间, 适用于Coats-Redfern法[22]

图3 玉米秸秆和海藻不同掺配比例热解的拟合直线Fig. 3 Fitted straight lines for corn straw and seaweed pyrolysis with different blending ratios

表5 玉米秸秆和海藻不同掺配比例的热解动力学参数(n = 1) Table 5 Kinetic parameters of corn straw and seaweed pyrolysis with different blending ratios (n = 1)

当掺配比例为80%玉米秸秆 + 20%海藻时的混合样品活化能比样品单一热解的活化能平均值高0.96 kJ/mol, 掺配比例为60%玉米秸秆 + 40%海藻的混合样品的活化能比单一热解的活化能平均值低1.57 kJ/mol, 当掺配比例为40%玉米秸秆 + 60%海藻时的混合样品活化能比单一热解的活化能平均值低4.63 kJ/mol。结果表明, 掺配比例为60%玉米秸秆 + 40%海藻和40%玉米秸秆 + 60%海藻时混合样品存在明显的协同效应, 降低了共热解所需能量, 相较于单独热解, 共热解更易进行。当掺配比例为80%玉米秸秆 + 20%海藻时, 混合样品的协同效应并不明显。这也与上述共热解特性参数分析结果一致。

2.2.2 不同升温速率下混合燃料热解动力学分析

图4是60%玉米秸秆 + 40%海藻在不同升温速率下热解的拟合直线。n = 1时不同升温速率下的热解动力学计算结果见表6, 实验的动力学参数具有的相关系数r2几乎全部在0.96 ~ 1之间, 适用于Coats-Redfern法。

图4 60%玉米秸秆 + 40%海藻在200 ~ 400β ℃热解拟合直线Fig. 4 Fitted straight lines for 60% corn straw + 40% seaweed pyrolysis at 200-400 ° C

表6 不同升温速率下的60%玉米秸秆 + 40%海藻热解动力学参数(n= 1) Table 6 Kinetic parameters of 60% corn straw + 40% seaweed pyrolysis at different heating rates (n = 1)

表6可知, 在样品主要热解区间200 ~ 400β ℃, 随着升温速率的升高, 活化能越来越低。20β ℃/min时活化能为20.64 kJ/mol, 30β ℃/min时活化能为19.34 kJ/mol, 比20β ℃/min时降低1.3 kJ/mol, 40β ℃/min时活化能为18.99 kJ/mol, 比20β ℃/min时降低1.65 kJ/mol, 因此可得升温速率越大, 所需要的活化能越小, 样品越容易发生热解。这也与上述热解性能分析实验结果一致。

3 结论

(1)玉米秸秆和海藻的热解分为干燥、挥发分析出和焦炭热解三个阶段, 随着海藻掺配比例的增加, 混合样品的失重率并不是单调递增。40%玉米秸秆 + 60%海藻时失重率最小, 60%玉米秸秆 + 40%海藻失重率最大, 增大混合样品中玉米秸秆掺混比例对最大失重速率的提高有促进作用。混合样品的CaKS均小于玉米秸秆和海藻单独燃烧时, 60%玉米秸秆 + 40%海藻时S值最大, 即热解性能最佳。

(2)在200 ~ 600β ℃, 样品失重最为明显, 随着升温速率的升高, TG曲线右移, 失重率越来越大, 最大失重速率先减小后增大, 30β ℃/min时最小。Ca递减, KS呈增加趋势。

(3)动力学研究表明, 60%玉米秸秆 + 40%海藻和40%玉米秸秆 + 60%海藻时混合样品存在明显的协同作用, 降低了共热解所需能量, 而80%玉米秸秆 + 20%海藻混合样品的协同作用并不明显。在不同升温速率工况下, 升温速率越大, 所需要的活化能越小, 样品越容易发生热解。

参考文献
[1] 付尹宣, 付嘉琦, 林敏, . 凤眼莲生物质热重分析研究[J]. 生态科学, 2017, 36(3): 61-65. DOI: 10.14108/j.cnki.1008-8873.2017.03.009. [本文引用:1]
[2] 王茜. 秸秆成型燃料提质及清洁燃烧特性研究[D]. 济南: 山东大学, 2017. DOI: 10.7666/d.Y3241047. [本文引用:1]
[3] 杨海平, 陈汉平, 晏蓉, . 油棕废弃物及生物质三组分的热解动力学研究[J]. 太阳能学报, 2007, 28(6): 626-631. DOI: 10.3321/j.issn:0254-0096.2007.06.012. [本文引用:1]
[4] WANG C X, BI H B, LIN Q Z, et al. Co-pyrolysis of sewage sludge and rice husk by TG-FTIR-MS: pyrolysis behavior, kinetics, and condensable/non-condensable gases characteristics[J]. Renewable energy, 2020, 160: 1048-1066. DOI: 10.1016/j.renene.2020.07.046. [本文引用:1]
[5] 金会心, 朱明燕, 吴复中, . 褐煤与生物质共热解过程的协同效应[J]. 煤炭转化, 2016, 39(3): 34-38. DOI: 10.3969/j.issn.1004-4248.2016.03.007. [本文引用:1]
[6] 王君, 李德茂, 张明旭, . 三种海藻的热解特性及动力学分析[J]. 海洋与湖沼, 2006, 37(4): 304-308. DOI: 10.3321/j.issn:0029-814X.2006.04.003. [本文引用:1]
[7] JIANG D, LI J C, WANG S, et al. Cyclic compound formation mechanisms during pyrolysis of typical aliphatic acidic amino acids[J]. ACS sustainable chemistry & engineering, 2020, 8(45): 16968-16978. DOI: 10.1021/acssuschemeng.0c07108. [本文引用:1]
[8] ARAVIND S, SENTHIL KUMAR P, KUMAR N S, et al. Conversion of green algal biomass into bioenergy by pyrolysis. A review[J]. Environmental chemistry letters, 2020, 18(3): 829-849. DOI: 10.1007/s10311-020-00990-2. [本文引用:1]
[9] 黄知清, 严兴洪. 海藻研究开发的发展概述[J]. 海洋技术, 2002, 21(3): 22-25. DOI: 10.3969/j.issn.1003-2029.2002.03.006. [本文引用:1]
[10] 彭卫民, 李祥书, 吴庆余, . 采用热解技术将湖泊浮游藻类用于燃料生产[J]. 环境污染治理技术与设备, 2000, 1(3): 24-28. DOI: 10.3969/j.issn.1673-9108.2000.03.005. [本文引用:1]
[11] PENG W M, WU Q Y, TU P G, et al. Pyrolytic characteristics of microalgae as renewable energy source determined by thermogravimetric analysis[J]. Bioresource technology, 2001, 80(1): 1-7. DOI: 10.1016/S0960-8524(01)00072-4. [本文引用:1]
[12] 蒋绍坚, 王涛, 彭好义, . 木质和玉米秸秆成型燃料热重分析与燃烧动力学[J]. 中南大学学报(自然科学版), 2013, 44(10): 4312-4318. [本文引用:1]
[13] 徐期勇, 章佳文, 刘虎, . 市政污泥与木屑共热解特性及动力学分析[J]. 可再生能源, 2021, 39(9): 1150-1156. DOI: 10.3969/j.issn.1671-5292.2021.09.003. [本文引用:1]
[14] 付文轩, 朱建伟. 废弃牛粪生物质燃烧特性的热重分析[J]. 科学技术创新, 2021(17): 74-77. DOI: 10.3969/j.issn.1673-1328.2021.17.032. [本文引用:1]
[15] 马爱玲, 谌伦建, 朱孔远. 生物质型煤燃烧特性研究[J]. 河南理工大学学报(自然科学版), 2009, 28(5): 675-680. DOI: 10.16186/j.cnki.1673-9787.2009.05.004. [本文引用:1]
[16] 牛淼淼, 周昕阳, 祁铭, . 生物质与废轮胎共热解反应特性与交互作用[J]. 电力科技与环保, 2023, 39(1): 79-86. DOI: 10.19944/j.eptep.1674-8069.2023.01.010. [本文引用:1]
[17] WANG C P, WANG F Y, YANG Q R, et al. Thermogravimetric studies of the behavior of wheat straw with added coal during combustion[J]. Biomass and bioenergy, 2009, 33(1): 50-56. DOI: 10.1016/j.biombioe.2008.04.013. [本文引用:1]
[18] 李晓洁, 岑建孟, 夏芝香, . 松木屑与煤加压热解特性[J]. 浙江大学学报(工学版), 2019, 53(7): 1298-1305. [本文引用:1]
[19] 张雪. 煤与生物质共热解过程的热重分析研究[D]. 哈尔滨: 黑龙江大学, 2012. [本文引用:1]
[20] 汤森, 袁艳文, 霍丽丽, . 低阶煤与玉米秸秆共热解特性研究[J]. 可再生能源, 2021, 39(2): 156-161. DOI: 10.3969/j.issn.1671-5292.2021.02.003. [本文引用:1]
[21] 陆炳祥, 张德祥. 低次烟叶热解特性及动力学机理函数[J]. 华东理工大学学报(自然科学版), 2019, 45(5): 711-718. DOI: 10.14135/j.cnki.1006-3080.20180716007. [本文引用:1]
[22] 肖瑞瑞, 杨伟, 陈雪莉, . 三种常见生物质热解动力学特性的研究[J]. 化学世界, 2012, 53(11): 663-667, 694. DOI: 10.19500/j.cnki.0367-6358.2012.11.007. [本文引用:1]