作者简介:王 硕(1997-),女,硕士研究生,主要从事天然气水合物与多相流相关检测及数值模拟方法研究。邢兰昌(1983-),男,博士,副教授,博士生导师,主要从事天然气水合物和CO2相关岩石物理实验及数值模拟、多相孔隙介质电学和声学检测理论与技术、多物理场和跨尺度数值模拟方法等研究。
宽频电频谱蕴含了导电、电极化及其频散机制的信息,天然气水合物的介电常数在kHz~MHz频段呈现频散特性,提出了基于该频段的电频谱来反演水合物饱和度的新思路。首先建立含水合物多孔介质的电场有限元数值模型,然后探讨水合物饱和度、水合物微观赋存模式、电场频率等因素对宽频电频谱的影响规律,最后针对含悬浮型和包裹型水合物多孔介质分别提出基于两步法的三相介电混合模型,进而建立水合物饱和度计算模型。研究结果表明:(1)在含包裹型水合物多孔介质中,水合物将石英砂颗粒与孔隙水隔离,则多孔介质低频段(< kHz)电频谱不受双电层极化的影响;当频率高于水合物频散频率时,含悬浮型和包裹型水合物多孔介质的复电导率虚部和复介电常数实部随着水合物饱和度的增大而显著降低;(2)对于含悬浮型水合物多孔介质,先将孔隙水与水合物的混合物视为等效孔隙流体相,采用Bruggeman(BR)模型计算等效介电常数,后将等效孔隙流体相与骨架颗粒混合,采用Bruggeman-Hanai(BH)模型计算含水合物多孔介质的等效介电常数,利用该BR-BH三相介电混合模型计算水合物饱和度,最大绝对误差为0.08,最大相对误差为5.67%;(3)对于含包裹型水合物多孔介质,先将骨架颗粒与水合物的混合物视为等效骨架颗粒相,采用Maxwell Garnett(MG)或BR模型计算等效介电常数,后将等效骨架颗粒相与孔隙水混合,采用BH模型计算含水合物多孔介质的等效介电常数,利用MG-BH和BR-BH三相介电混合模型分别计算水合物饱和度,最大绝对误差均为0.04,最大相对误差均低于10%。该研究建立了一种新的水合物饱和度评价方法,为天然气水合物储层定量评价和动态监测技术的开发提供了理论基础。
The broadband electrical spectrum contains information on conduction, polarization and its dispersion mechanisms. The dielectric constant of natural gas hydrate exhibits dispersion characteristics in the kHz-MHz frequency band. A new approach to evaluate hydrate saturation based on the electrical spectrum of this frequency band is proposed. Firstly, finite element numerical electric field models in porous media containing hydrates were established. Then, the influence of hydrate saturation, micro-distribution mode of hydrates, and electric field frequency on the broadband electrical spectrum was explored. Finally, three-phase dielectric mixing models based on a two-step method were proposed for porous media containing suspending and coating hydrates, and hydrate saturation evaluation models were established. It has been demonstrated that: (1) in the porous media containing coating hydrates, the hydrates isolate quartz sand particles from pore water, and the low-frequency (< kHz) electrical spectrum of the porous media is not affected by double layer polarization; when the frequency is higher than the dispersion frequency of hydrates, the imaginary part of the complex conductivity and the real part of the complex dielectric constant of porous media containing hydrates significantly decrease with the increase of hydrate saturation; (2) for the porous media containing suspending hydrates, the mixture of pore water and hydrates is first considered as an equivalent pore fluid phase, and the Bruggeman (BR) model is used to calculate the equivalent dielectric constant; then the equivalent pore fluid phase is mixed with the skeleton particles, and the Bruggeman Hanai (BH) model is used to calculate the equivalent dielectric constant of porous media containing hydrates; the BR-BH three-phase dielectric mixing model is used to calculate the hydrate saturation, with the maximum absolute error of 0.08 and the maximum relative error of 5.67%; (3) for the porous media containing coating hydrates, the mixture of skeleton particles and hydrates is first considered as an equivalent skeleton particle phase, and the equivalent dielectric constant is calculated using Maxwell Garnett (MG) or BR models; then the equivalent skeleton particle phase is mixed with pore water, and the BH model is used to calculate the equivalent dielectric constant of porous media containing hydrates; the hydrate saturation is calculated using the MG-BH and BR-BH three-phase dielectric mixture models, with the maximum absolute errors of 0.04 and the maximum relative errors of less than 10%. This study establishes a new method for evaluating hydrate saturation, providing a theoretical basis for developing quantitative evaluation and dynamic monitoring technologies for natural gas hydrate reservoirs.
天然气水合物主要分布于海底沉积物和陆域永久冻土带, 是一种资源潜力巨大的非常规天然气资源, 其中90%的天然气水合物赋存于海域[1, 2]。天然气水合物资源的勘查与开发已被列为我国能源发展的重大战略目标。我国已在南海海域完成了多轮水合物试采[3, 4, 5], 为下一步实施“ 生产性试采” 、实现将来的“ 商业化开采” 目标奠定了扎实的基础, 同时也提出了下一步需要攻关的难题, 如具有开采潜力的水合物资源的评估、水合物甜点的精准探测、水合物的经济高效开采等[6, 7, 8]。这些难题对水合物储层准确识别、精细评价、实时动态监测技术提出了新的挑战。
天然气水合物饱和度和地层渗透率是水合物储层评价和监测的关键参数, 前者也是影响后者的重要因素之一。水合物与常规油气具有类似的高电阻率性质, 因此常规油气中的电阻率测井技术成为水合物储层饱和度评价的重要技术手段[9, 10, 11, 12, 13]。国际科学大洋钻探计划采用了系列的深海测井技术, 获得了井筒附近含水合物地层连续且高分辨率观测数据, 有效弥补了岩心分析技术的不足[14]。大洋钻探所采用的测井仪器包括标准测井和随钻测井两大系列, 其中的电法测井仪器主要有地层微电阻率扫描成像测井仪、相量双感应-球形聚焦电阻率测井仪、随钻复合电阻率测井仪、随钻补偿阵列电阻率测井仪等[14]。这些电法测井仪器提供了不同工作频率和径向探测深度条件下的电阻率, 在水合物饱和度评价中发挥了不可替代性作用。
电法测井技术所采用的工作频率决定了仪器探测的径向深度和电性参数[9, 10, 11, 12, 13, 14, 15, 16, 17]。普通电阻率测井、侧向测井、感应测井、随钻电磁波电阻率测井的工作频率依次升高, 一般低于10 MHz, 通过探测电阻率参数来获得地层信息。介电测井仪通常在1 GHz以上工作, 以地层介电常数为主要的探测参数, 但是其径向探测深度小, 对于渗透性地层则仅限于对冲洗带的探测。钻井过程中水合物的分解可能会导致井径扩大、钻完井液侵入, 这为介电测井的应用带来了挑战, 目前仅在冻土区水合物测井中有初步的应用[15, 16, 17]。与传统油气相比, 海域天然气水合物及其储层在电法测井响应方面具有特殊性。第一, 原油和天然气的相对介电常数通常低于3, 而天然气水合物介电常数在kHz~MHz频段呈现出频散特性, 在低于1 kHz范围内相对介电常数大于60, 而高于10 MHz则小于5[18, 19, 20, 21, 22]; 第二, 水合物以固态的多种微观分布模式赋存于沉积地层中[23, 24, 25], 水合物与骨架的接触关系不同于流体, 从而影响电荷的迁移行为; 第三, 水合物分解/二次形成等过程不仅引起水合物/水/气之间相态的物理转变[26], 也引起孔隙水离子浓度、双电层性质等化学变化[27, 28]。鉴于上述天然气水合物储层的电学性质特殊性, 研究人员认识到综合利用多种测井数据对储层参数进行联合反演的重要性[29, 30, 31, 32]。
为了实现基于多电性参数的水合物饱和度联合反演, 首先需要获取反映含水合物沉积物电学性质的参数。第一, 将电导率(电阻率)和介电常数表示为复电导率或复介电常数, 该参数综合描述了导电和电极化机制; 第二, 电极化类型和特性的差异引起等效介电常数的频散, 可以用随频率变化的介电常数来描述。综上所述, 宽频段的电频谱(即复电导率或复介电常数频谱)是实现基于电性参数反演水合物饱和度的首选。
考虑到天然气水合物的介电常数在kHz~MHz频段呈现出频散特性, 本文聚焦探讨该频段内电场作用下含水合物多孔介质的响应特性以及水合物饱和度反演方法。首先建立含水合物多孔介质的电场有限元数值模型, 分析水合物饱和度、水合物微观赋存模式、电场频率等因素对含水合物多孔介质电频谱的影响规律, 然后针对不同的水合物赋存模式分别建立水合物饱和度计算模型, 最终形成一种基于kHz~MHz频段电频谱的多孔介质中水合物饱和度评价新方法, 为天然气水合物储层定量评价和动态监测技术的开发提供理论基础。
在交变电场作用条件下, 介质中出现两类微观的电荷运动过程, 即自由电荷定向迁移、束缚电荷产生位移。前者反映了介质的导电特性, 用电导率来描述, 后者反映了介质的介电(电极化或弛豫)特性, 用介电常数来描述。复电导率和复介电常数是综合描述交变电场作用下介质电学性质的参数[33, 34]。
交变电场作用下, 电位移(D)和电场强度(E)之间的关系可表示为式(1)。
![]() |
式中: 

![]() |
式中:σ 和ε 分别为介质的电导率和相对介电常数, σ * = σ + iω ε 0ε 为复电导率。此外, 根据定义可以用式(3)来表示出复介电常数。
![]() |
式中:复(相对)介电常数ε * = ε + σ /(iω ε 0)。当描述交变电场与介质的相互作用时, 复电导率和复介电常数本质上是相同的[如式(4)所示], 两者通常分别用于描述低频段和高频段的电频谱。由于电极化具有频率依赖特性, 因此宽频段的复电导率和复介电常数表示为电场频率的函数。
![]() |
交变电场作用下饱和水多孔介质呈现出多种电极化现象(图1)。在低频段(< kHz), 主导的极化机制为薄膜极化和双电层极化; 在中频段(kHz~MHz), 界面极化(Maxwell-Wagner效应)起主导作用; 在高频段(> GHz)则以水分子转向极化为主导[35, 36]。
| 图1 交变电场作用下饱和水多孔介质的电极化类型示意图(修改自文献[36])Fig. 1 Schematic of polarization types of water-saturated porous medium with alternative electric field applied (modified from ref. [36]) |
图2展示了水合物、水、石英砂在宽频范围内的相对介电常数频谱。由图可见, 水合物的介电常数在kHz~MHz频段呈现出频散特性, 在低于1 kHz范围内相对介电常数大于60, 而高于10 MHz则小于5[18, 20]。水合物极化峰值频率(图中曲线斜率最大处所对应的频率点)受到多种因素的影响, 如水合物客体分子类型、环境温度、压力等。
含水合物多孔介质包含水合物、水和骨架颗粒, 是一种典型的多相孔隙介质。介电混合模型以复介电常数为参量来描述多相混合介质的电频谱特性。考虑到复介电常数与复电导率之间的本质一致性[参见式(4)], 复介电常数混合模型可以等价地表示为复电导率混合模型。因此, 下文对复介电常数和复电导率不再作严格区分。
为了实现基于宽频(kHz~MHz)电频谱参数的多孔介质中水合物饱和度的反演计算, 需要引入能够描述含水合物多孔介质等效复电导率或等效复介电常数的混合定律和混合模型。以下介绍本文所用到的三类介电混合模型, 即Maxwell Garnett(MG)模型、Bruggeman(BR)模型以及Bruggeman-Hanai(BH)模型。
式(5)给出了计算两相混合介质等效(相对)复介电常数的MG模型。该模型假设多个球形的颗粒随机分布于背景介质中, 这些颗粒称为内含物或分散相, 背景介质称为背景相或连续相[37]。该模型将内含物和背景相区别对待, 因此为非对称模型, 适用于分散相体积分数较低的混合物。
![]() |
式中:ε * mix为混合物的等效复介电常数; ε * i为分散相的复介电常数; ε * e为连续相的复介电常数; fi为分散相在混合物中的体积分数。
BRUGGEMAN[38]将混合物中的两相同等对待, 即不区分连续相和分散相, 提出了具有对称特性的模型, 即BR模型[式(6)]。该模型也被称作Polder-van Santen模型[39]、de Loor模型[40]、Bö ttcher模型[41]和等效介质模型[42]。
![]() |
虽然BR模型能够较好地描述两相混合物的介电性质, 但若两相介电常数相差较大, 则会影响其有效性[43]。针对该问题, BRUGGEMAN[44]引入了不对称积分技术, 得到了不受分散相体积分数限制的介电混合模型。HANAI[45]将这一理论推广为复介电混合模型, 即BH模型[式(7)]。
![]() |
对于含水合物多孔介质混合物, 水合物饱和度、水合物微观赋存模式、骨架颗粒性质等直接影响混合物的电学特性[21, 22, 46, 47, 48, 49, 50]。本文针对典型的水合物赋存模式, 建立了含孔隙悬浮型和颗粒包裹型水合物多孔介质的模型几何结构(图3)。
图3中多孔介质模型的长度为782 μ m、高度为429 μ m, 骨架颗粒的直径为60.8 μ m, 骨架颗粒均匀排列成方形阵列, 多孔介质孔隙度为0.43。水合物饱和度定义为水合物在孔隙空间的体积占比。通过调节代表水合物颗粒圆面的直径来改变水合物的面积, 从而获得不同水合物饱和度的条件。本文所建立多孔介质模型中的悬浮型水合物饱和度范围为0~0.39, 包裹型水合物饱和度范围为0~0.47。
含水合物多孔介质数值模型的计算域包括三种材料, 即石英砂颗粒、水和水合物。由于在模型中需要求解电流守恒方程, 因此需要设定这些材料的电学属性参数, 即电导率和相对介电常数。
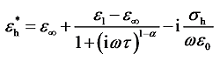
石英砂颗粒自身的相对介电常数ε s为5、电导率σ s为1 × 10-10 S/m。考虑石英砂颗粒表面的双电层极化作用, 则采用文献[21, 22]中的方法对带有双电层的石英砂颗粒的等效电导率和等效介电常数进行计算。孔隙水的电导率和相对介电常数分别为7.81 × 10-3 mS/m[51]和86.17[52]。水合物的复相对介电常数 
![]() |
式中:σ h为水合物电导率[53, 54], σ h = 1 × 10-5 S/m; ε l为低频(静态)相对介电常数, ε l= 4; ε ∞ 为高频相对介电常数, ε ∞ = 60; τ 为弛豫时间, τ =1 × 10-5 s(对应水合物的极化峰值频率为1.59 × 104 Hz); α 为分布因子[55], α = 0.01。
通过使用AC/DC模块计算所构建计算域的电场参数, 在电感效应可忽略的条件下, 采用模块的电流接口计算计算域中的电场强度、电流和电势分布。电流接口以标量电势为因变量, 求解基于欧姆定律和本构关系的电流守恒方程, 交变电场作用下总电流密度Jt为传导电流密度Jc与位移电流密度Jd的和。有限元数值模型中求解的电场控制方程如下:
![]() |
式中:Qj, V为电流源; Je为外部产生的电流密度, 默认情况下设置为0; V为电势。
在二维模型中, 沿水平方向左端、右端均为电压边界, 上下边界被指定为电绝缘边界, 整个模型的电势初始值为0。为了获得宽频电频谱, 对计算域左端边界施加正弦交流电压U = sin(ω t), 频率范围为1 × 10-3~ 1 × 106 Hz, 右端边界接地。
利用水饱和多孔介质数值模型进行网格依赖性检验, 其中石英砂颗粒直径为60.80 μ m, 孔隙水盐度为1.20 × 10-3 mol/L; 模型的几何结构包括石英砂颗粒部分和孔隙部分, 采用自由三角形网格将二维数值模型几何区域离散化, 采用并行稀疏直接法(multi-frontal massively parallel sparse direct solver, MUMPS)进行模型的求解。图4显示了水饱和多孔介质复电导率虚部随网格数量变化的曲线。
| 图4 水饱和多孔介质复电导率虚部随网格数量的变化曲线Fig. 4 Variation curves of the imaginary part of complex conductivity of water saturated porous medium with the number of mesh cells |
分析图4可知, 随着网格数量的增加, 多孔介质复电导率虚部呈现先增大后趋于平稳的趋势。当网格数量在2 × 106以上时, 多孔介质复电导率虚部开始随网格数量的增加而趋于稳定。综合考虑模型解的准确性和耗费的算力资源, 选定网格的最大和最小单元的尺寸分别为0.70 μ m和1.56 × 10-2 μ m, 单元数量为2 262 485。
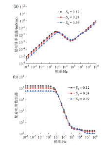
以石英砂颗粒粒径为60.8 μ m、孔隙水盐度为1.20 × 10-3 mol/L的含水合物多孔介质数值模型为例, 图5和图6分别展示了不同水合物饱和度条件下含悬浮型和包裹型水合物多孔介质的复介电常数谱。
图5显示, 在含悬浮型水合物多孔介质中, 骨架颗粒与孔隙水接触而在表面形成双电层, 在双电层极化主导的频段范围内(图中10 Hz), 当频率低于峰值频率时, 随着水合物饱和度的增加, 石英砂颗粒表面复电导率虚部减小, 导致多孔介质复电导率虚部减小、复介电常数实部减小; 当频率高于峰值频率时, 双电层极化作用逐渐减弱, 复介电常数实部随着频率的升高逐渐减小; 当频率高于水合物频散频率(模型中设定为1.59 × 104 Hz)时, 水合物的介电常数随频率急剧减小, 导致多孔介质复介电常数的实部随着频率的升高而逐渐减小, 在该频率范围内水合物的介电常数远小于水的介电常数, 使得多孔介质复介电常数实部随水合物饱和度的增大而显著减小。
图6显示, 在含包裹型水合物多孔介质中, 水合物将骨架颗粒与孔隙水隔离, 因此含包裹型水合物多孔介质在低频段(< kHz)的电频谱不受双电层极化的影响, 多孔介质复电导率虚部、复介电常数实部的频散特性不显著; 当频率高于水合物频散频率时, 随着水合物饱和度的增大, 孔隙水的饱和度降低, 由于水合物的介电常数远小于水的介电常数, 则多孔介质复电导率虚部和复介电常数实部显著减小。
第3节对比分析了含悬浮型和包裹型水合物多孔介质的电频谱, 结果表明在水合物极化频散频段(如kHz~MHz)电频谱随着水合物饱和度的变化而发生显著的变化, 因此下文以该频段的电频谱为输入参数建立水合物饱和度计算模型。
针对含悬浮型和包裹型水合物多孔介质, 分别提出了建立三相介电混合模型的两步法, 通过求解所建立的介电混合模型获得水合物饱和度, 并采用绝对误差EA[式(10)]和相对误差ER[式(11)]来评价水合物饱和度模型计算结果的准确性。
![]() |
![]() |
式中:Shc和Shr分别为水合物饱和度的模型计算值和参考值(即数值模型的设定值)。
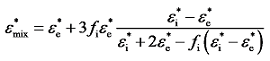
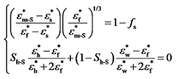
对于含悬浮型水合物多孔介质, 水合物与石英砂颗粒互不接触, 水合物占据了部分孔隙空间。采用两步法对含水合物多孔介质的等效介电常数进行正演计算。首先将孔隙水与水合物的混合物视为等效孔隙流体相, 采用BR模型计算等效孔隙流体相的等效介电常数, 然后将等效孔隙流体相与石英砂颗粒混合, 采用BH模型计算含悬浮型水合物多孔介质的等效介电常数。本文将基于上述两步法所建立的三相等效介电混合模型称为BR-BH介电混合模型, 即计算水合物饱和度的模型[式(12)]。
![]() |
式中:ε * ns-S为含悬浮型水合物多孔介质的复介电常数谱; Sh-S为模型计算的水合物饱和度; ε * w为孔隙水的复介电常数谱; ε * s为石英砂颗粒的复介电常数谱; ε * f为等效孔隙流体相的复介电常数谱; fs为石英砂颗粒占整个多孔介质的体积分数。
图7比较了含悬浮型水合物多孔介质中水合物饱和度的模型计算值和参考值。
| 图7 悬浮型水合物饱和度的模型计算值与参考值的比较Fig. 7 Comparison between model predicted and reference hydrate saturations for suspending hydrates |
分析图7可知, 利用所建立的BH-BR三相介电混合模型计算得到的水合物饱和度的最大绝对误差EA为0.08、最大相对误差ER为5.67%, 具有较高的准确度。
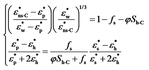
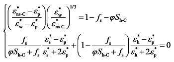
在含包裹型水合物多孔介质中, 水合物包裹石英砂颗粒, 石英砂颗粒只与水合物接触而不与孔隙水接触。采用如下两步法对含包裹型水合物多孔介质的等效介电常数进行正演计算。首先将石英砂颗粒与水合物的混合物视为等效骨架颗粒相, 采用MG或BR模型计算等效骨架颗粒相的等效介电常数, 然后将等效骨架颗粒相与孔隙水混合, 采用BH模型计算含包裹型水合物多孔介质的等效介电常数。至此则建立了三相等效介电混合模型, 分别称为MG-BH介电混合模型[式(13)]和BR-BH介电混合模型[式(14)], 即水合物饱和度计算模型。
![]() |
![]() |
式中:ε * ns-C为含包裹型水合物多孔介质的复介电常数谱; Sh-C为水合物饱和度的模型计算值; ε * p为等效骨架颗粒相的复介电常数谱; φ 为多孔介质的孔隙度。
图8比较了含包裹型水合物多孔介质中水合物饱和度模型(MG-BH和BR-BH介电混合模型)的计算值和参考值。分析图中数据可知, 利用MG-BH和BR-BH介电混合模型计算得到的水合物饱和度的最大绝对误差EA均为0.04、最大相对误差ER为分别为9.78%和9.73%, 即均处于 ± 10%以内。
建立了含水合物多孔介质的电场有限元数值模型, 探讨了水合物饱和度、水合物微观赋存模式、电场频率等因素对多孔介质宽频电频谱的影响规律, 针对含悬浮型和包裹型水合物多孔介质分别提出了基于两步法的三相介电混合模型, 进一步建立了水合物饱和度计算模型, 形成一种基于kHz~MHz频段电频谱的多孔介质中水合物饱和度评价新方法。得到以下结论:
(1)在含悬浮型水合物多孔介质中, 骨架颗粒与孔隙水接触而在表面形成双电层; 在含包裹型水合物多孔介质中, 水合物将石英砂颗粒与孔隙水隔离, 则含包裹型水合物多孔介质的低频段(< kHz)电频谱不受双电层极化的影响; 当频率高于水合物频散频率时, 含悬浮型和包裹型水合物多孔介质的复电导率虚部和复介电常数实部随着水合物饱和度的增大而显著减小, 为利用kHz~MHz频段电频谱建立水合物饱和度计算模型提供了理论依据。
(2)对于含悬浮型水合物多孔介质, 先将孔隙水与水合物的混合物视为等效孔隙流体相, 采用Bruggeman(BR)模型计算等效介电常数, 后将等效孔隙流体相与骨架颗粒混合, 采用Bruggeman-Hanai(BH)模型计算含水合物多孔介质的等效介电常数, 利用该BR-BH三相介电混合模型反演计算水合物饱和度, 最大绝对误差为0.08, 最大相对误差为5.67%。
(3)对于含包裹型水合物多孔介质, 先将骨架颗粒与水合物的混合物视为等效骨架颗粒相, 采用Maxwell Garnett(MG)或BR模型计算的等效介电常数, 后将等效骨架颗粒相与孔隙水混合, 采用BH模型计算含水合物多孔介质的等效介电常数, 利用MG-BH和BR-BH三相介电混合模型分别反演计算水合物饱和度, 最大绝对误差均为0.04, 最大相对误差均处于 ± 10%以内。
| [1] |
|
| [2] |
|
| [3] |
|
| [4] |
|
| [5] |
|
| [6] |
|
| [7] |
|
| [8] |
|
| [9] |
|
| [10] |
|
| [11] |
|
| [12] |
|
| [13] |
|
| [14] |
|
| [15] |
|
| [16] |
|
| [17] |
|
| [18] |
|
| [19] |
|
| [20] |
|
| [21] |
|
| [22] |
|
| [23] |
|
| [24] |
|
| [25] |
|
| [26] |
|
| [27] |
|
| [28] |
|
| [29] |
|
| [30] |
|
| [31] |
|
| [32] |
|
| [33] |
|
| [34] |
|
| [35] |
|
| [36] |
|
| [37] |
|
| [38] |
|
| [39] |
|
| [40] |
|
| [41] |
|
| [42] |
|
| [43] |
|
| [44] |
|
| [45] |
|
| [46] |
|
| [47] |
|
| [48] |
|
| [49] |
|
| [50] |
|
| [51] |
|
| [52] |
|
| [53] |
|
| [54] |
|
| [55] |
|















